Where are these directions coming from? (Electric Field)

Click For Summary

Homework Help Overview

The discussion revolves around the electric field generated by two infinite sheets of electric charge, one positively charged and the other negatively charged, which intersect at right angles. The original poster seeks clarification on the directional components of the electric field vectors derived from these sheets.

Discussion Character

  • Exploratory, Conceptual clarification, Mathematical reasoning

Approaches and Questions Raised

  • Participants discuss the nature of electric fields produced by charged planes, questioning how the directions of the electric field vectors are determined. Some express uncertainty about the underlying principles of electric fields from infinite sheets and the vector addition involved.

Discussion Status

The conversation is ongoing, with participants exploring various interpretations of the electric field directions. Some have provided insights into vector addition and the geometry involved, while others suggest reviewing foundational concepts related to electric fields.

Contextual Notes

There appears to be a lack of familiarity with the basic principles of electric fields from uniformly charged planes, which is affecting the understanding of the problem. Participants are encouraged to seek additional resources to clarify these concepts.

emhelp100
Messages
14
Reaction score
0

Homework Statement


Two uniform infinite sheets of electric charge, one with charge density +o and the other with -o, intersect at right angles. Find and sketch the electric field [itex]\vec{E}[/itex]

upload_2018-4-18_23-55-24.png

Homework Equations


[itex]\vec{E} = \frac{\sigma}{2e_0}[/itex]

The Attempt at a Solution


Given solution:
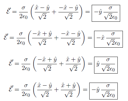
upload_2018-4-18_23-56-21.png

[/B]
Numbered counterclockwise starting from [itex]\hat{x}[/itex]
upload_2018-4-18_23-57-42.png

Can someone explain where the directions are coming from?

Why is it [itex](\frac{\hat{x}-\hat{y}}{\sqrt{2}} + \frac{-\hat{x}-\hat{y}}{\sqrt{2}})[/itex] for 1. and etc?
 

Attachments

  • upload_2018-4-18_23-55-24.png
    upload_2018-4-18_23-55-24.png
    1.7 KB · Views: 670
  • upload_2018-4-18_23-56-21.png
    upload_2018-4-18_23-56-21.png
    2.8 KB · Views: 357
  • upload_2018-4-18_23-56-41.png
    upload_2018-4-18_23-56-41.png
    9.4 KB · Views: 458
  • upload_2018-4-18_23-57-42.png
    upload_2018-4-18_23-57-42.png
    10.9 KB · Views: 362
Physics news on Phys.org
I don't know about electric fields, but the expressions are the sum of two vectors perpendicular to the sheets.
ElectricFieldX.png

I guess the field due to a plane must be perpendicular to the plane, so the field between two planes is the sum of two fields.
 

Attachments

  • ElectricFieldX.png
    ElectricFieldX.png
    4.1 KB · Views: 761
Are you familiar with what the electric field from a single infinite uniformly charged plane is?
 
Orodruin said:
Are you familiar with what the electric field from a single infinite uniformly charged plane is?
no
 
Merlin3189 said:
I don't know about electric fields, but the expressions are the sum of two vectors perpendicular to the sheets.
View attachment 224297
I guess the field due to a plane must be perpendicular to the plane, so the field between two planes is the sum of two fields.
Why is the red line +x-y?
 
EDIT: Ooops! Ignore this line! (I take it you mean the left hand arrow: it is perpendicular to the + plane and pointing away from it.)
ElectricFieldX3.png

You get the red vectors by adding two black vectors.
eg. the down left red arrow is what you get if you follow the black down arrow (-y) then the black left arrow (-x)

When you need to know the size of the arrows (or the magnitude of the vectors) then you CAN just look at the geometry. x and y are at 90° and equal in size (what we can call unit vectors) so the red one is √2 long. (Pythagoras, 12 + 12 = (√2)2 )
 

Attachments

  • ElectricFieldX3.png
    ElectricFieldX3.png
    6.2 KB · Views: 374
Last edited:
emhelp100 said:
no
Perhaps you should take a look into this and related ideas. Hyperphysics is probably as good a place to start as any.
 
emhelp100 said:
no
Then I suggest that you try to find that out first. Without that, all the talk of vector addition of both contributions will be useless. See, for example, the Khan academy video on this subject.
 

Similar threads

Replies
8
Views
2K
  • · Replies 6 ·
Replies
6
Views
1K
  • · Replies 28 ·
Replies
28
Views
1K
  • · Replies 25 ·
Replies
25
Views
3K
  • · Replies 18 ·
Replies
18
Views
2K
Replies
12
Views
2K
  • · Replies 4 ·
Replies
4
Views
1K
Replies
12
Views
2K
Replies
8
Views
2K
Replies
2
Views
1K