Why is m*dv/dt 0 in the Falling Chain Problem?

  • Thread starter Thread starter al_9591
  • Start date Start date
  • Tags Tags
    Chain Falling
Click For Summary

Homework Help Overview

The discussion revolves around the Falling Chain Problem, focusing on the dynamics of a chain segment as it falls and the implications of mass change in Newtonian mechanics. Participants explore the equation m*dv/dt and its interpretation in the context of free-falling mass elements.

Discussion Character

  • Conceptual clarification, Assumption checking, Mathematical reasoning

Approaches and Questions Raised

  • Participants question the validity of the equation m*dv/dt being zero, considering the acceleration of the mass element dm. There are discussions about using conservation of energy to find the speed of the chain segment and whether to consider the height as x or L-x. Some participants express skepticism about the applicability of certain equations in Newtonian mechanics and suggest alternative approaches to understanding the problem.

Discussion Status

The discussion is active, with participants sharing different perspectives on the equations involved and the assumptions being made. Some guidance has been offered regarding the correct interpretation of the system and the forces at play, but there is no explicit consensus on the best approach or interpretation of the equations.

Contextual Notes

Participants are grappling with the implications of changing mass in the context of Newtonian mechanics and the appropriate application of momentum principles. There is an ongoing exploration of the definitions and assumptions related to the system being analyzed.

al_9591
Messages
12
Reaction score
0
Homework Statement
A chain of total mass M and length l is suspended vertically with
its lowest end touching a scale. The chain is released and falls onto
the scale.
What is the reading of the scale when a length of chain, x, has
fallen? (Neglect the size of individual links.)
Relevant Equations
F = dp/dt
F = ma
I have seen the solution for this problem but still there are some things I do not understand and would like clarification.
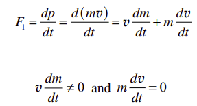
In the equations below I understand that we use the chain rule on m and v but what I don't understand why m*dv/dt is 0, I don't think is because the acceleration of dm is 0, since I assume dm is free-falling then it has acceleration g.

1614488926169.png

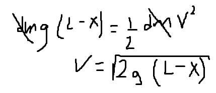
Also, when I tried solving for the speed of a segment of chain dm using conservation of energy, I got for v = sqrt(2gx), which is correct based on the solution I saw, but could we use for the height displaced L-x, instead of x? I tried to solve it with L-x but I got the wrong solution. My assumption here was that an element dm located at a height L-x from the floor/scale starts from rest and reaches the speed below.

1614489452076.png
1614489802388.png
 
Physics news on Phys.org
al_9591 said:
In the equations below I understand that we use the chain rule on m and v but what I don't understand why m*dv/dt is 0, I don't think is because the acceleration of dm is 0, since I assume dm is free-falling then it has acceleration g.

View attachment 278854
I don't understand that either, but then I don't accept that mass can change in Newtonian mechanics, so I don't accept the equation ##F = v\frac{dm}{dt} + m\frac{dv}{dt}##.

Instead, I would consider a small time interval ##\Delta t##. The mass of chain that hits the grounds in that time is proportional to the speed of the chain: $$\Delta m = \frac{M}{L}\Delta l = \frac{M}{L} v \Delta t$$
And the momentum of that small mass of chain is: $$\Delta p = v \Delta m = \frac{M}{L} v^2 \Delta t$$ hence
$$\frac{\Delta p}{\Delta t} = \frac{M}{L} v^2$$

al_9591 said:
Also, when I tried solving for the speed of a segment of chain dm using conservation of energy, I got for v = sqrt(2gx), which is correct based on the solution I saw, but could we use for the height displaced L-x, instead of x? I tried to solve it with L-x but I got the wrong solution. My assumption here was that an element dm located at a height L-x from the floor/scale starts from rest and reaches the speed below.

View attachment 278855View attachment 278856

You are given ##x## as the length of chain that has fallen. Why change that round?
 
  • Like
Likes   Reactions: al_9591
I agree with @PeroK that d(mv)/dt=vdm/dt+mdv/dt is better avoided. Too often it is misapplied.
To use it correctly, one must first specify clearly what the system is. In the extract quoted, it is the portion of chain at rest, so dv/dt is zero.
The mass being gained, dm/dt, arrives with velocity v (=v(t)), so it requires a force vdm/dt to bring it to rest.
 
  • Like
Likes   Reactions: al_9591, Lnewqban and PeroK
PeroK said:
I don't understand that either, but then I don't accept that mass can change in Newtonian mechanics, so I don't accept the equation ##F = v\frac{dm}{dt} + m\frac{dv}{dt}##.

Instead, I would consider a small time interval ##\Delta t##. The mass of chain that hits the grounds in that time is proportional to the speed of the chain: $$\Delta m = \frac{M}{L}\Delta l = \frac{M}{L} v \Delta t$$
And the momentum of that small mass of chain is: $$\Delta p = v \Delta m = \frac{M}{L} v^2 \Delta t$$ hence
$$\frac{\Delta p}{\Delta t} = \frac{M}{L} v^2$$
You are given ##x## as the length of chain that has fallen. Why change that round?

Some problems I don't understand well, I usually try to solve them in different ways, this helps my understanding of the problem that is why I wanted to use L-x. Anyway, thanks for your approach on this problem, it helped me look at it from another perspective.
 
haruspex said:
I agree with @PeroK that d(mv)/dt=vdm/dt+mdv/dt is better avoided. Too often it is misapplied.
To use it correctly, one must first specify clearly what the system is. In the extract quoted, it is the portion of chain at rest, so dv/dt is zero.
The mass being gained, dm/dt, arrives with velocity v (=v(t)), so it requires a force vdm/dt to bring it to rest.
Thanks for your reply. Just out of curiosity what would be the right system? I understand that dv/dt is zero because it refers to the resting piece of chain on the table. If the part v*dm/dt is the force required to stop the piece dm, then the equation d(mv)/dt=vdm/dt+mdv/dt takes into account both, already, the piece on the floor and the falling dm piece. If this is so, we shouldn't need to add the force done by the floor also, as this one is considered in the equation d(mv)/dt=vdm/dt+mdv/dt already , is this correct?
 
al_9591 said:
we shouldn't need to add the force done by the floor also, as this one is considered in the equation
Not sure what you mean by that.
The conceptual difficulty is the representation of the force required to stop the falling dm of chain.
You can consider the dm to exert an external force acting on the system consisting of the resting mass m, balanced by gravity (mg) and the normal force from the ground:
##F_{net}=F_{normal}+mg+v\frac{dm}{dt}=\frac{dp}{dt}=0## (taking down as positive everywhere).
Or, you can consider the mass on the ground and the added dm as the system, undergoing a momentum change vdm each dt:
##F_{net}=F_{normal}+mg=\frac{dp}{dt}=-v\frac{dm}{dt}##.
 

Similar threads

  • · Replies 12 ·
Replies
12
Views
3K
Replies
7
Views
3K
  • · Replies 4 ·
Replies
4
Views
2K
  • · Replies 6 ·
Replies
6
Views
4K
  • · Replies 2 ·
Replies
2
Views
2K
  • · Replies 6 ·
Replies
6
Views
2K
  • · Replies 12 ·
Replies
12
Views
2K
  • · Replies 1 ·
Replies
1
Views
2K
Replies
8
Views
3K
  • · Replies 2 ·
Replies
2
Views
3K