A formula involving the sum of cosines of the angles of a triangle

Click For Summary

Homework Help Overview

The discussion revolves around proving a formula involving the sum of the cosines of the angles in a triangle, specifically the relationship between the angles and the sides of the triangle. The problem is situated within the context of trigonometry and geometric properties of triangles.

Discussion Character

  • Mixed

Approaches and Questions Raised

  • Participants discuss various attempts to prove the formula, with some expressing confusion over specific steps and coefficients. There are suggestions to utilize the law of cosines as a potential starting point for the proof. Others question the inclusion of certain terms in the formula, particularly the "-1" at the end.

Discussion Status

Several participants have provided insights and alternative approaches, indicating a collaborative effort to clarify the problem. While some have expressed uncertainty about specific calculations, others have offered constructive feedback and hints to guide the original poster's understanding.

Contextual Notes

Participants note that the problem may involve assumptions or definitions that are not fully detailed in the original post. There is also mention of a potential sign error in the calculations, but no definitive resolution has been reached.

brotherbobby
Messages
777
Reaction score
172
Homework Statement
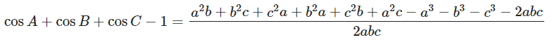
For a triangle ##\text{ABC}##, prove that $$\boxed{\cos A+\cos B+\cos C-1=\dfrac{a^2b+b^2c+c^2a+b^2a+c^2b+a^2c-a^3-b^3-c^3-2abc}{2abc}}$$
Relevant Equations
1. ##\cos\frac{A}{2}= \sqrt{\dfrac{s(s-a)}{bc}}## and its cyclic counterparts.
2. ##\sin\frac{A}{2}= \sqrt{\dfrac{(s-b)(s-c)}{bc}}## and its cyclic counterparts.
3. ##s=\dfrac{a+b+c}{2}##, the semi perimeter of a triangle.
Problem Statement : The statement appeared on a website where a different problem was being solved. I got stuck at the (first) statement in the solution that I posted above 👆. Here I copy and paste that statement from the website, which I cannot show :
1677664505352.png


Attempt : To save time typing, I write out and paste the solution using Xournal++, hoping am not violating anything.

triangle.png
Issue : As evidence by the coefficients that I have marked in red, my answer is not the same as that shown for the problem.

A hint as to where I went wrong would be welcome.
 
Physics news on Phys.org
brotherbobby said:
Homework Statement:: For a triangle ##\text{ABC}##, prove that $$\boxed{\cos A+\cos B+\cos C-1=\dfrac{a^2b+b^2c+c^2a+b^2a+c^2b+a^2c-a^3-b^3-c^3-2abc}{2abc}}$$
Relevant Equations:: 1. ##\cos\frac{A}{2}= \sqrt{\dfrac{s(s-a)}{bc}}## and its cyclic counterparts.
2. ##\sin\frac{A}{2}= \sqrt{\dfrac{(s-b)(s-c)}{bc}}## and its cyclic counterparts.
3. ##s=\dfrac{a+b+c}{2}##, the semi perimeter of a triangle.

Problem Statement : The statement appeared on a website where a different problem was being solved. I got stuck at the (first) statement in the solution that I posted above 👆. Here I copy and paste that statement from the website, which I cannot show : View attachment 323036

Attempt : To save time typing, I write out and paste the solution using Xournal++, hoping am not violating anything.

View attachment 323039Issue : As evidence by the coefficients that I have marked in red, my answer is not the same as that shown for the problem.

A hint as to where I went wrong would be welcome.
I cannot see what you have done in every step except the first one, so let's see.

And btw. here is explained how you can type formulas on PF: https://www.physicsforums.com/help/latexhelp/

\begin{align*}
\cos(A)&= \dfrac{s(s-a)}{bc}-\dfrac{(s-b)(s-c)}{bc}=\dfrac{s^2-as-s^2+bs+cs-bc}{bc}\\&=\dfrac{s(-a+b+c)}{bc}-1=\dfrac{s}{abc}(-a^2+ab+ac)-1
\end{align*}
hence
\begin{align*}
\cos(A)+&\cos(B)+\cos(C)=\dfrac{s}{abc}(-a^2+ab+ac-b^2+bc+ba-c^2+ca+cb)-3\\
&=-\dfrac{s}{abc}(a^2+b^2+c^2-2ab-2ac-2bc)-\dfrac{6abc}{2abc}\\
&=-\dfrac{1}{2abc}\cdot ((a+b+c)(a^2+b^2+c^2-2ab-2ac-2bc)+6abc)\\
&=-\dfrac{1}{2abc}(a^3+ab^2+ac^2+a^2b+b^3+ac^2+a^2c+b^2c+c^3)+\ldots\\
&+\dfrac{1}{2abc}(2a^2b+2a^2c+2abc+2ab^2+2abc+2b^2c+2abc+2ac^2+2bc^2-6abc)\\
&=\dfrac{1}{2abc}(-a^3-b^3-c^3+a^2b+a^2c+ab^2+b^2c+ac^2+bc^2)
\end{align*}
and thus
\begin{align*}
\cos(A)+&\cos(B)+\cos(C)-1=\dfrac{1}{2abc}(-a^3-b^3-c^3+a^2b+a^2c+ab^2+b^2c+ac^2+bc^2-2abc)
\end{align*}
which is the correct answer.

I assume you made a sign error somewhere but I do not see exactly where since I cannot trace your calculation.
 
fresh_42 said:
And btw. here is explained how you can type formulas on PF: https://www.physicsforums.com/help/latexhelp/
I was trying to save work, typing equations out. However, I will now type out the answer and remedy my mistake above.

To prove : For a triangle ABC, show that ##\boxed{\cos A+\cos B+\cos C-1=\dfrac{a^2b+b^2c+c^2a+b^2a+c^2b+a^2c-a^3-b^3-c^3-2abc}{2abc}}##.

Solution : Starting from the left hand side,
$$\begin{equation*}
\begin{aligned}
\cos A+\cos B+\cos C-1 & =\cos^2A/2-\sin^2 A/2+\cos^2B/2-\sin^2 B/2+\cos^2C/2-\sin^2 C/2-1\\
&=\frac{s(s-a)}{bc}-\frac{(s-b)(s-c)}{bc}+\frac{s(s-b)}{ca}-\frac{(s-c)(s-a)}{ca}+\frac{s(s-c)}{ab}-\frac{(s-a)(s-b)}{ab}-1\\
&=\frac{as(b+c-a)-abc+bs(c+a-b)-abc+cs(a+b-c)-abc-abc}{abc}\\
&=\frac{(a+b+c)(ab+ac-a^2)+(a+b+c)(bc+ab-b^2)+(a+b+c)(ac+ab-c^2)-8abc}{2abc}\\
\end{aligned}
\end{equation*}$$

The numerator simplifies to the required ##\mathcal{N} = -a^3-b^3-c^3+a^2b+ab^2+b^2c+bc^2+c^2a+ca^2-2abc##.

Thank you for your help.
 
I think you could have begun with the law of cosines: e.g. ## c^2=a^2+b^2-2ab \cos{C} ##, rather than a formula that most of us probably wouldn't ever memorize, or maybe even recognize. With a little algebra with the 3 cosines, the result follows very routinely.
 
Last edited:
  • Like
Likes   Reactions: Steve4Physics and neilparker62
Charles Link said:
I think you could have begun with the law of cosines: e.g. ## c^2=a^2+b^2-2ab \cos{C} ##, rather than a formula that most of us probably wouldn't ever memorize, or maybe even recognize. With a little algebra with the 3 cosines, the result follows very routinely.
This was certainly my first thought! I don't even know why they included the " - 1 " at the end.
 
  • Like
Likes   Reactions: mathwonk and Charles Link
Charles Link said:
I think you could have begun with the law of cosines: e.g. ## c^2=a^2+b^2-2ab \cos{C} ##, rather than a formula that most of us probably wouldn't ever memorize, or maybe even recognize. With a little algebra with the 3 cosines, the result follows very routinely.
Yes, thank you. I totally overlooked the law of cosines.

Attempt :
\begin{equation*}

\begin{aligned}

\cos A+\cos B+\cos C-1 & =\frac{b^2+c^2-a^2}{2bc}+\frac{c^2+a^2-b^2}{2ca}+\frac{a^2+b^2-c^2}{2ab}-1\\

&=\frac{a(b^2+c^2-a^2)+b(c^2+a^2-b^2)+c(a^2+b^2-c^2)-2abc}{2abc}\\

&=\boxed{\frac{a^2b+ab^2+b^2c+bc^2+c^2a+ca^2-a^3-b^3-c^3-2abc}{2abc}}\\

\end{aligned}

\end{equation*}

Thank you.
 
  • Like
Likes   Reactions: SammyS and Charles Link
neilparker62 said:
This was certainly my first thought! I don't even know why they included the " - 1 " at the end.
Yes, it looks unusual. But that is because it is a portion of a different problem.

I posted requiring to show that $$\cos A+\cos B+\cos C-1=\boxed{\dfrac{a^2b+b^2c+c^2a+b^2a+c^2b+a^2c-a^3-b^3-c^3-2abc}{2abc}}$$

The numerator of the expression in the box factorises to $$\boxed{a^2b+b^2c+c^2a+b^2a+c^2b+a^2c-a^3-b^3-c^3-2abc} = \boldsymbol{(a+b-c)(b+c-a)(c+a-b)}$$
The factorisation is involved.

You can see that, for the triangle, the factorised expressed in bold simplifies readily to $$8(s-a)(s-b)(s-c),$$ furthering the solution to original problem I didn't show. $$\text{Show that, for a triangle}\,\cos A+\cos B+\cos C = 1+\frac{r}{R}$$

I have, with blood, sweat and tears, done the problem.
 
  • Like
Likes   Reactions: neilparker62 and Charles Link

Similar threads

  • · Replies 1 ·
Replies
1
Views
4K
  • · Replies 11 ·
Replies
11
Views
2K
  • · Replies 12 ·
Replies
12
Views
3K
Replies
7
Views
2K
Replies
12
Views
2K
  • · Replies 19 ·
Replies
19
Views
3K
  • · Replies 9 ·
Replies
9
Views
2K
  • · Replies 7 ·
Replies
7
Views
2K
  • · Replies 5 ·
Replies
5
Views
3K
  • · Replies 2 ·
Replies
2
Views
2K