Are these two general solutions or one general/two particular solutions?

  • Thread starter Thread starter s3a
  • Start date Start date
  • Tags Tags
    General
Click For Summary
SUMMARY

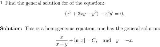
The discussion centers on the interpretation of solutions for a first-order homogeneous differential equation, specifically the equation represented by y_1(x) = [k_1 * x + x * ln(x)]/[k2 - ln(x)]. The contributor successfully derived a solution and identified y = -x as a potential solution. The core question revolves around whether y = -x should be considered part of a general solution or if it represents a distinct alternative. The conversation highlights the complexity of linear combinations in non-linear equations, particularly when a term like y^2 is present.

PREREQUISITES
  • Understanding of first-order homogeneous differential equations
  • Familiarity with differential equation solutions and linear combinations
  • Knowledge of mathematical notation and terminology related to calculus
  • Experience with solving equations involving logarithmic functions
NEXT STEPS
  • Study the properties of first-order homogeneous differential equations
  • Learn about the implications of non-linear terms in differential equations
  • Explore the method of undetermined coefficients for solving differential equations
  • Investigate the concept of linear combinations of solutions in the context of differential equations
USEFUL FOR

Mathematics students, educators, and professionals dealing with differential equations, particularly those exploring solution methods and the implications of non-linear terms.

s3a
Messages
828
Reaction score
8

Homework Statement


The problem and its answers are attached.

I prefer the first one as (same thing but isolated for y):

y_1(x) = [k_1 * x + x * ln(x)]/[k2 - ln(x)]


Homework Equations


First order homogeneous differential equation.
y = xv, dy/dx = v + x dv/dx


The Attempt at a Solution


I solved this successfully. Given that at some point in the solution of the problem for solving y_1(x), I get a denominator with (x+y), it is my "mathematical duty" to check if x + y = 0 => y = -x is a solution to the differential equation and it is. Because of the nature in which I got this y = -x solution, I am confused as to whether I treat this as one of the two alternatives for a general solution or both together span the one and only general solution.

Any input would be greatly appreciated!
Thanks in advance!
 

Attachments

  • Problem.jpg
    Problem.jpg
    8.6 KB · Views: 398
Physics news on Phys.org
Your equation isn't linear, is it? It has a y^2 in it. That would mean a linear combination of solutions isn't necessarily a solution.
 

Similar threads

  • · Replies 5 ·
Replies
5
Views
2K
  • · Replies 12 ·
Replies
12
Views
2K
Replies
2
Views
2K
Replies
3
Views
2K
Replies
10
Views
2K
  • · Replies 1 ·
Replies
1
Views
2K
  • · Replies 2 ·
Replies
2
Views
1K
  • · Replies 7 ·
Replies
7
Views
2K
Replies
7
Views
2K