Basic Circuit Analysis - mutual induc

Click For Summary

Discussion Overview

The discussion centers around a problem in basic circuit analysis involving mutual inductance. Participants are attempting to resolve discrepancies between their calculations and the answer provided in a textbook, exploring the implications of different values for mutual inductance.

Discussion Character

  • Debate/contested

Main Points Raised

  • One participant expresses frustration over not arriving at the correct answer, which is stated to be V0 = 2.24 at an angle of -153.43.
  • Another participant suggests that using a mutual inductance value of 2j instead of j would yield the correct answer according to the textbook.
  • A third participant agrees with the previous suggestion, indicating that mixing inductance values in the equations may be the source of the error.
  • One participant questions the rationale behind using 2j for the mutual inductance, noting that M is defined as j1ω.
  • Another participant seeks clarification on the definition of M, mentioning that it depends on the coupling coefficient and is expressed as M = k sqrt(L1*L2).
  • A later reply clarifies that the question explicitly states M = j1Ω, correcting a previous misunderstanding regarding the notation used.

Areas of Agreement / Disagreement

Participants do not reach a consensus on the correct value for mutual inductance or the reasoning behind it. Multiple competing views remain regarding the definitions and calculations involved.

Contextual Notes

There are unresolved assumptions regarding the definitions of mutual inductance and its dependence on the coupling coefficient. The discussion reflects uncertainty about the correct application of these concepts in the context of the problem.

FrogPad
Messages
801
Reaction score
0
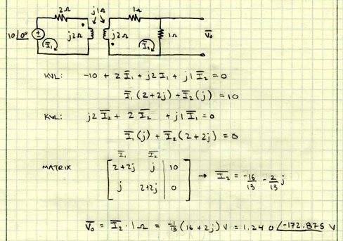
This problem seems so simple, but I CANNOT get the right answer.Here is the work I've done so far:
159576165_67e300b767.jpg


I've also attached the work, but if anyone wants to check the links before it gets approved, please be my guest.

The books says that the correct answer is:

V0 = 2.24 at an angle of -153.43

I don't understand what I'm doing wrong !
 

Attachments

  • homework.jpg
    homework.jpg
    31.4 KB · Views: 556
Physics news on Phys.org
Not exactly the most helpful tip, but you will get the answer in the book (according to the method you used) if the mutual inductance is 2j instead of j.
 
I think you mixed the inductance in your equations. I agree with doodle, if you use j2 you'll get the answer in the back of the book.
 
Why would the mutual inductance term be 2j?

Isn't M defined by as [itex]j1\omega[/itex] ?

If I use 2j I get the book's answer, but I don't understand why I should use 2j.
 
I am not sure why you should say that M is defined as j1w. Or perhaps you are trying to say that the question explicitly gave M = j1w?

A quick browse in my Circuit Theory textbook reveals that M depends on the coupling coefficient, k, and then M = k sqrt(L1*L2).
 
Oh sorry about the latex confusion. Yes, the question explicitly said that [itex]M = j1\Omega[/itex]

I typed a small omega instead of a big one.
 

Similar threads

  • · Replies 7 ·
Replies
7
Views
2K
  • · Replies 8 ·
Replies
8
Views
2K
  • · Replies 6 ·
Replies
6
Views
3K
  • · Replies 3 ·
Replies
3
Views
2K
  • · Replies 3 ·
Replies
3
Views
3K
  • · Replies 13 ·
Replies
13
Views
3K
  • · Replies 3 ·
Replies
3
Views
3K
  • · Replies 9 ·
Replies
9
Views
6K
  • · Replies 17 ·
Replies
17
Views
13K
  • · Replies 5 ·
Replies
5
Views
3K