Checking Your Answer: Is it Correct or Not?

  • Thread starter Thread starter r-soy
  • Start date Start date
Click For Summary

Homework Help Overview

The discussion revolves around verifying answers to a problem involving savings over time, specifically focusing on the calculations related to saving amounts and durations. The subject area includes basic arithmetic and potentially sequences or series in mathematics.

Discussion Character

  • Exploratory, Assumption checking, Problem interpretation

Approaches and Questions Raised

  • Participants express concerns about the clarity and correctness of the original poster's answers, questioning the units of measurement and the calculations involved. There is a suggestion to set up a formula to better understand the savings process.

Discussion Status

The discussion is ongoing, with participants providing feedback on the original poster's calculations and suggesting a structured approach to the problem. There is no explicit consensus yet, as various interpretations of the problem are being explored.

Contextual Notes

Some participants note the importance of clarity in presenting the problem and the calculations, indicating that the original poster's lack of detail may hinder effective assistance.

r-soy
Messages
170
Reaction score
1
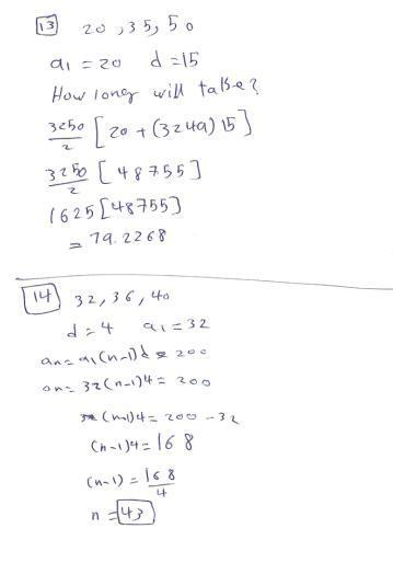
Hi all


I try to solve and i want checkmy answer
 

Attachments

  • Q.JPG
    Q.JPG
    16.7 KB · Views: 451
  • 222a.JPG
    222a.JPG
    12.6 KB · Views: 395
Physics news on Phys.org
People will be more likely to help you out if you post the question and your work right in the text entry window. It's very difficult to have to open one window to see the problem, and then open another to see your work, but not be able to see the problem.
 
r-soy said:
Hi all


I try to solve and i want checkmy answer

I don't think your answers make any sense at all.

For #13 you state 79.23. Well, 79.23 months? days? years? seconds? Doing the calculation myself tells me that you've done something wrong here.

For #14 you say 43 years?? If he saves 32Rs/year for 43 years he would save well over 200Rs and that's not accounting for the +4 Rs/year.
 
Help me what wil i do ?
 
Setup some simple formula describing what they are doing.

For example, if you want to find the number of years it takes to save 200Rs given all the information in the problem, you could setup something like:

[tex] 32 + (32 + 4) + (32 + 4 + 4) + ... + (32 + 4N) = \sum_{n=0}^N (32 + 4n) = 200[/tex]

and solve for N.
 

Similar threads

  • · Replies 11 ·
Replies
11
Views
2K
  • · Replies 7 ·
Replies
7
Views
2K
Replies
8
Views
2K
  • · Replies 10 ·
Replies
10
Views
3K
  • · Replies 1 ·
Replies
1
Views
1K
  • · Replies 11 ·
Replies
11
Views
3K
  • · Replies 1 ·
Replies
1
Views
1K
  • · Replies 4 ·
Replies
4
Views
2K
  • · Replies 4 ·
Replies
4
Views
3K
  • · Replies 16 ·
Replies
16
Views
3K