Circuit question -- Two sources and two resistors....

Click For Summary

Discussion Overview

The discussion revolves around a circuit analysis problem involving two current sources and two resistors, focusing on the application of Kirchhoff's Current Law (KCL) and the implications of different circuit configurations. Participants explore the relationships between voltage, current, and resistance, as well as the behavior of dependent sources in the circuit.

Discussion Character

  • Homework-related
  • Technical explanation
  • Debate/contested
  • Exploratory

Main Points Raised

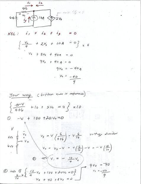
  • Some participants apply KCL at a node, proposing equations for the voltage (Vo) across the 4 ohm resistor, with differing interpretations of the impact of the 6 ohm resistor.
  • There is a suggestion that the 6 ohm resistor does not affect Vo, as it is related to the current through the device and the resistance of the device.
  • One participant questions how the circuit would behave if a current source were replaced with a voltage source, noting that the voltage source would create a constant voltage affecting the voltage drops across resistors.
  • Another participant expresses confusion regarding the interpretation of the voltage drop across the 4 ohm resistor and the sign of Vo.
  • There is a hypothetical scenario introduced about a circuit with very high resistors and a 100 A current source, prompting questions about current flow and KCL applicability.
  • Participants discuss the nature of current sources, emphasizing that a current source provides a constant current regardless of the surrounding circuit.
  • One participant clarifies that connecting two current sources in series is invalid, while another discusses the implications of current direction in relation to constant current sources.
  • There is a detailed explanation of the significance of the Vo label on the 4 ohm resistor and the nature of controlled sources, including how the output is determined by an external quantity.
  • Some participants express uncertainty about the polarity of the Vo label and whether it should be flipped based on current flow direction.

Areas of Agreement / Disagreement

Participants exhibit a mix of agreement and disagreement regarding the application of KCL, the role of the 6 ohm resistor, and the interpretation of current sources. The discussion remains unresolved on several points, particularly regarding the implications of different circuit configurations and the correct interpretation of voltage signs.

Contextual Notes

Some participants express confusion over the definitions and roles of current and voltage sources, as well as the implications of circuit configurations on current flow and voltage drops. There are also unresolved questions about the assumptions made in the hypothetical scenarios presented.

  • #31
goonking said:
Are there cases where applying KCL is required but KVL isn't?
Both are fundamental "laws" that always hold. In terms of approaching a given problem sometimes one is more straightforward or advantageous in terms of the mathematical complexity. For example, there might be three loops but only two essential nodes in a circuit, so using KVL loops would require three equations to find the loop current, but only two node equations to find the node voltages. However, neither method would work at all if both KVL and KCL didn't hold for the circuit.
 
  • Like
Likes   Reactions: goonking
Physics news on Phys.org
  • #32
what is the answer for this problem. can you give us the steps how to deal with this
 
  • #33
goonking said:
another question, but aren't the polarities on the Vo resistor suppose to be switched/flipped ( maybe a typo?) since current can only flow from right to left in this case.
Just a clarification here.

The Controlled Current Source (CCS) V0 is sensing the voltage across the 4 Ohm resistor. This is shown by the V0 symbol below the resistor. This is a differential measurement, i.e. fully floating with respect to any Ground, and conceptually uses two wires.

The wires are typically not drawn in the schematic to reduce clutter. The "+" and "-" symbols at the resistor show the polarity connection of the two sense wires for the CCS.

Hope this helps!
Tom
 
  • Like
Likes   Reactions: sysprog
  • #34
Forget Vo for a minute. Just apply KCL at that top node (junction of the 2 current sources and the 4 ohm resistor). Take the bottom as the reference node. We then have (V - 0)/(4 + 6) -10 - 2*Vo =0. Now Vo = 4*(0 - V)/(4 + 6). Substitute for Vo and solve for V. Finally, since the current is entering the negative terminal of the dependent current source the power absorbed will be equal to - (V)*(2*Vo). (Hint Vo will actually be negative in this case.)
 
  • #35
Let me also point out that the main reason you are getting stuck on this problem is because you are taking Vo as the voltage at that top node which it is not. The left going current is neither Vo/4 nor Vo/(4 + 6). The correct (left going) current is simply V/(4 + 6) where V, as above, is simply the voltage at that essential node on top.
 
  • #36
boo said:
Let me also point out that the main reason you are getting stuck on this problem is because you are taking Vo as the voltage at that top node which it is not. The left going current is neither Vo/4 nor Vo/(4 + 6). The correct (left going) current is simply V/(4 + 6) where V, as above, is simply the voltage at that essential node on top.
This thread is super old. Someone has already answered the question and another person bumped it way later probably not reading the old responses.

I wouldn't have followed up, but I did want to add something: I understand that you are correct about the "left going" current not being Vo/4, but the current in that left branch IS Vo/4 and can still be easily used for KCL. If it's really important you can say the "left going" current is -Vo/4. Sure you don't know what the voltage is at the top, but you can use Ohm's law on that resistor that has Vo assigned across it. This works because the two resistors are in series, and so you know the same current is flowing through it. So long as current is flowing through that branch the 6 Ohm resistor does not affect Vo.

The eye opener to that problem is that it would affect the power (second part of the problem). Finding the voltage at the top node would then become helpful because the second part of the question asks to find the power. I think considering Vo/4 from the start is easier and you can use that current to easily get the voltages without considering a voltage divider or careful bookkeeping of the polarities.

4NTUYnT.jpg
 
  • #37
Whoa! Didn't realize that this was an ancient thread. Would not waded in. But agree that left going current is - Vo/4.
 

Similar threads

  • · Replies 37 ·
2
Replies
37
Views
7K
Replies
15
Views
3K
  • · Replies 13 ·
Replies
13
Views
3K
  • · Replies 7 ·
Replies
7
Views
3K
  • · Replies 19 ·
Replies
19
Views
5K
  • · Replies 1 ·
Replies
1
Views
2K
  • · Replies 1 ·
Replies
1
Views
2K
  • · Replies 4 ·
Replies
4
Views
2K
Replies
1
Views
2K
Replies
2
Views
6K