Complex contour integral proof

Click For Summary
SUMMARY

The forum discussion centers on the proof of a complex contour integral involving the function |\cot \pi z|. The user attempted to apply the triangle inequality but encountered issues with values exceeding 1 and the handling of the negative sign in front of e^(N+1/2)*2pi. A suggested approach includes multiplying the numerator and denominator by the complex conjugate of the denominator to derive the exact value of |\cot \pi z|^2, which facilitates bounding the function along the contour.

PREREQUISITES
  • Understanding of complex analysis concepts, particularly contour integrals.
  • Familiarity with the triangle inequality in mathematical proofs.
  • Knowledge of complex functions, specifically |\cot \pi z| and its properties.
  • Experience with manipulating exponential functions in the complex plane.
NEXT STEPS
  • Study the properties of |\cot \pi z| and its behavior in complex analysis.
  • Learn about the application of the triangle inequality in complex proofs.
  • Explore techniques for bounding complex functions along contours.
  • Investigate the use of complex conjugates in simplifying expressions involving complex functions.
USEFUL FOR

Mathematicians, students of complex analysis, and anyone involved in advanced calculus or mathematical proofs will benefit from this discussion.

GGGGc
Homework Statement
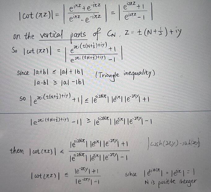
How can I show that from the contour C_N (I’ve attached) that absolute value of cot(pi*z) is less than or equal to 0 everywhere on vertical parts of C_N and less than or equal to a value everywhere on the horizontal parts?
Relevant Equations
|a+b|<=|a|+|b|
|a-b|>=|a|-|b|
I’ve attached my attempt. I’ve tried to use triangle inequality formula to attempt, but it seems I got the value which is larger than 1. Which step am I wrong? Also, it seems I cannot neglect the minus sign in front of e^(N+1/2)*2pi. How can I deal with that?
 

Attachments

  • IMG_0099.jpeg
    IMG_0099.jpeg
    69.2 KB · Views: 111
  • IMG_0100.jpeg
    IMG_0100.jpeg
    61.1 KB · Views: 112
  • IMG_0101.jpeg
    IMG_0101.jpeg
    61.8 KB · Views: 136
Physics news on Phys.org
You got as far as [tex] |\cot \pi z | = \left|\frac{e^{2i\pi z} + 1}{e^{2i\pi z} - 1} \right| = \left|<br /> \frac{e^{2i\pi x}e^{-2\pi y} + 1}{e^{2i\pi x}e^{-2\pi y} - 1}\right|[/tex] Why not go further? Multiply numerator and denominator by the complex conjugate of the denominator. Then you can easily write down the exact value of [itex]|\cot \pi z|^2[/itex], and at that point you can start trying to bound it on each side of the contour.

Or write [tex] |\cot \pi z| = \frac{|e^{2i\pi x} + e^{2\pi y}|}{|e^{2i\pi x} - e^{2\pi y}|}[/tex] and then you can obtain an upper bound by maximizing the distance between [itex]e^{2i\pi x}[/itex] and [itex]-e^{2\pi y}[/itex] in the numerator and mimizing the distance between [itex]e^{2i\pi x}[/itex] and [itex]e^{2\pi y}[/itex] in the denominator.
 
Last edited:

Similar threads

Replies
3
Views
2K
  • · Replies 3 ·
Replies
3
Views
2K
  • · Replies 2 ·
Replies
2
Views
3K
  • · Replies 1 ·
Replies
1
Views
2K
Replies
9
Views
2K
  • · Replies 3 ·
Replies
3
Views
3K
  • · Replies 2 ·
Replies
2
Views
2K
Replies
1
Views
2K
  • · Replies 1 ·
Replies
1
Views
2K
  • · Replies 2 ·
Replies
2
Views
4K