Calculating Height h from a Projectile Launched at A

Click For Summary

Homework Help Overview

The problem involves calculating the height of a projectile launched at an angle, given its initial velocity and the impact point on a vertical wall. The subject area pertains to kinematics in projectile motion.

Discussion Character

  • Exploratory, Assumption checking, Mathematical reasoning

Approaches and Questions Raised

  • Participants discuss the validity of assuming vertical velocity is zero at a certain point and explore different equations to find time and height. Questions arise regarding the correct sequence of solving equations.

Discussion Status

Some participants have offered guidance on using specific equations to express time and height in terms of other variables. There is an ongoing exploration of different approaches, but no explicit consensus has been reached.

Contextual Notes

Participants are navigating assumptions about projectile motion and the implications of neglecting air resistance. There is a focus on the relationships between variables such as time, angle, and height.

Alexanddros81
Messages
177
Reaction score
4

Homework Statement


A projectile launched at A with an initial velocity of 24 m/s at the angle θ=60deg, impacts the vertical wall at B. Neglecting air resistance, calculate the height h

Homework Equations

The Attempt at a Solution


Here is my solution

Pytel_Dynamics038.jpg


Pytel_Dynamics039.jpg
As you can see to find height h I assumed that ##v_y=0## in the second of Eqs. (f) and solved for time.
Is this correct or should I have solved first equation of (g) to find time and then solve for y?
 
Physics news on Phys.org
Alexanddros81 said:
I assumed that ##v_y=0##
Then don't. There is no basis for such an assumption.
Yes, find t first.
 
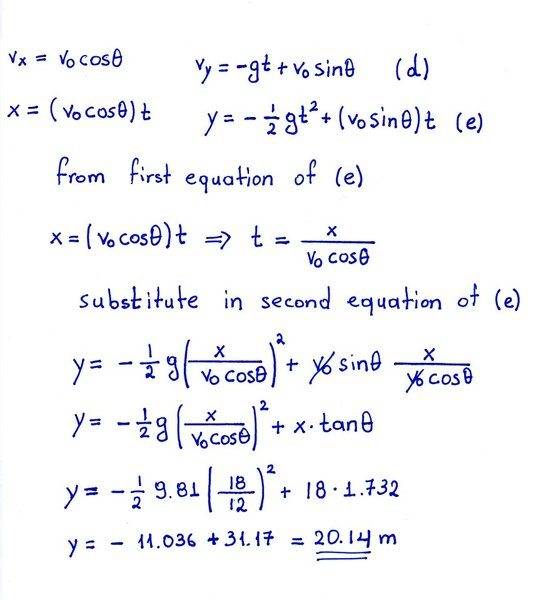
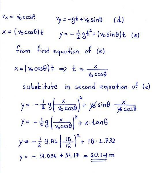
Look at your equations labeled (e). The first equation can be used to find an expression for t in terms of x and θ. Substitute that in the second equation and you will have y as a function of x and θ. Substitute the given numbers for x and θ to find h.
 
Pytel_Dynamics043.jpg


Can you check this?
 

Similar threads

Replies
40
Views
3K
  • · Replies 15 ·
Replies
15
Views
27K
Replies
8
Views
5K
  • · Replies 1 ·
Replies
1
Views
3K
Replies
1
Views
1K
Replies
10
Views
6K
  • · Replies 5 ·
Replies
5
Views
2K
Replies
7
Views
2K
  • · Replies 3 ·
Replies
3
Views
3K
  • · Replies 8 ·
Replies
8
Views
4K