Determining Coordinates - lines and planes

Click For Summary

Homework Help Overview

The discussion revolves around determining coordinates in the context of lines and planes, focusing on the relationships between equations and their solutions.

Discussion Character

  • Exploratory, Assumption checking

Approaches and Questions Raised

  • Participants discuss the validity of their solutions by substituting values back into the original equations. There is also a consideration of the implications of having a single point versus multiple points in the solution set.

Discussion Status

Some participants have shared their experiences with checking solutions, while others are exploring the implications of the number of solutions available. The conversation appears to be productive, with insights being exchanged about the nature of the solution sets.

Contextual Notes

There is an emphasis on the importance of verifying solutions against the original equations, as well as the conditions under which a solution set may contain a single point or multiple points.

ttpp1124
Messages
110
Reaction score
4
Homework Statement
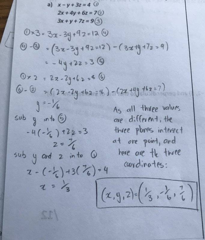
Use normal vectors to determine the intersection, if any, for each of the following groups of three planes. Give a geometric interpretation in each case and the number of solutions for the corresponding linear system of equations. If the planes intersect in a line, determine a vector equation of the line. If the planes intersect in a point, determine the coordinates of the point.

I solved it, I just need someone to check my work. Thanks in advance!
Relevant Equations
n/a
IMG_3633.jpg
 
Physics news on Phys.org
You should plug the answers you got into the original equations and see if they satisfy all the equations.
 
FactChecker said:
You should plug the answers you got into the original equations and see if they satisfy all the equations.
Just did, and I got my desired outcome. Thanks!
 
To conclude that the solution set is a single point, you should notice that there was enough information to get one specific value for each variable. If there are more than one point in the solution set, your final answer will have one (or more) variable in terms of the others and you will not be able to go further.
 

Similar threads

  • · Replies 21 ·
Replies
21
Views
4K
  • · Replies 9 ·
Replies
9
Views
1K
  • · Replies 4 ·
Replies
4
Views
2K
Replies
1
Views
2K
  • · Replies 3 ·
Replies
3
Views
2K
Replies
2
Views
2K
  • · Replies 3 ·
Replies
3
Views
2K
Replies
7
Views
2K
  • · Replies 7 ·
Replies
7
Views
2K
  • · Replies 22 ·
Replies
22
Views
2K