Determining the Force acting on a Particle

  • Thread starter Thread starter kacete
  • Start date Start date
  • Tags Tags
    Force Particle
Click For Summary
SUMMARY

The discussion focuses on determining the force acting on a particle moving in the XOY plane, utilizing Newton's Second Law of motion. The participant acknowledges the need to derive the movement equation to find velocity and acceleration. They attempted to evaluate the situation at specific time points (t=0 and t=1) to calculate the resulting vectors for velocity but expressed confusion about the process. The conversation highlights the importance of understanding derivatives in motion equations for solving force-related problems.

PREREQUISITES
  • Understanding of Newton's Second Law of motion
  • Knowledge of calculus, specifically differentiation
  • Familiarity with kinematic equations
  • Basic concepts of vector analysis
NEXT STEPS
  • Study the application of Newton's Second Law in two-dimensional motion
  • Learn how to derive velocity and acceleration from position equations
  • Explore vector calculus for analyzing motion in the XOY plane
  • Review examples of force calculations in physics problems
USEFUL FOR

Students studying physics, particularly those focusing on mechanics, as well as educators and tutors looking to enhance their understanding of motion and force calculations.

kacete
Messages
26
Reaction score
0

Homework Statement


A particle of mass
kg.jpg
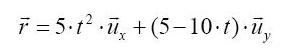
moves across the XOY plane following the equation:


Homework Equations


eq.jpg



The Attempt at a Solution


I'm totally clueless about this one.
I know I have to find the derivative of the movement equation to find the velocity and then again to find the acceleration and use it on Newton's Second Law of motion.
(The previous exercise was the reverse problem, given the F(t) eq, find the x(t) eq.)
I tried t=0 and t=1, and given the resulting vectors the velocity could be found? :frown:
 
Physics news on Phys.org
Anyone?
 

Similar threads

  • · Replies 13 ·
Replies
13
Views
1K
  • · Replies 5 ·
Replies
5
Views
2K
  • · Replies 1 ·
Replies
1
Views
971
Replies
3
Views
2K
Replies
1
Views
1K
  • · Replies 4 ·
Replies
4
Views
3K
  • · Replies 8 ·
Replies
8
Views
2K
  • · Replies 4 ·
Replies
4
Views
2K
  • · Replies 1 ·
Replies
1
Views
3K
Replies
4
Views
2K