Discover the Reason Behind Adding 32 to the Formula for Converting °C to °F

  • Thread starter Thread starter parshyaa
  • Start date Start date
Click For Summary

Discussion Overview

The discussion centers on the reasoning behind the addition of 32 in the formula for converting Celsius to Fahrenheit. Participants explore historical context, the significance of temperature scales, and the rationale for specific defined points in these scales.

Discussion Character

  • Exploratory
  • Technical explanation
  • Historical

Main Points Raised

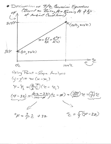
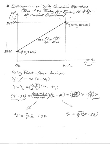
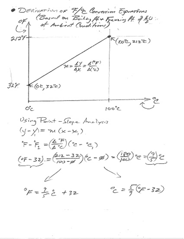
  • Some participants note that the ratio of scale difference between Celsius and Fahrenheit is 180/100, or 9/5, but question the necessity of adding 32.
  • One participant suggests that adding 32 relates to the fact that 0°C corresponds to 32°F, indicating a shift in the freezing point of water.
  • Another participant mentions that the freezing point of salt water is significant for seafaring nations, suggesting that this influenced the establishment of the Fahrenheit scale's zero point.
  • There is a reference to historical changes in temperature scales, including the original definitions of freezing and boiling points of water, which were altered by Carl Linnaeus.
  • Some participants discuss the coincidence of -40° where both scales match, noting it as an easier reference point for conversion.
  • One participant recalls that Fahrenheit's zero was based on the lowest temperature he could achieve in his laboratory, which may have involved freezing brine.
  • There is a question raised about why the two temperature scales align so well, with a participant mentioning that the definitions were standardized in 1776.

Areas of Agreement / Disagreement

Participants express various viewpoints on the historical and practical reasons for the addition of 32 in the conversion formula. Multiple competing explanations exist, and the discussion remains unresolved regarding the definitive reasoning behind the temperature scale definitions.

Contextual Notes

Some claims rely on historical interpretations and may depend on specific definitions of freezing points, which are not universally agreed upon. The discussion reflects a range of perspectives without reaching a consensus.

parshyaa
Messages
307
Reaction score
19
How we got this formula i know that the ratio of scale difference is 180/100 =9/5 but why to add 32, is it because °F at 0°c is + 32
 
Chemistry news on Phys.org
Yes. Plug in a few numbers and you'll see.
 
  • Like
Likes   Reactions: parshyaa
parshyaa said:
How we got this formula i know that the ratio of scale difference is 180/100 =9/5 but why to add 32, is it because °F at 0°c is + 32
The 0 was moved to be the freezing point of water. Here is some info:

http://www.todayifoundout.com/index.php/2014/12/fahrenheit-scale-isnt-arbitrary-seems/

(interestingly, originally the freezing point of water was 100°C, and the boiling point was 0°C, but Carl Linnaeus made that modification- Good read)
 
  • Like
Likes   Reactions: parshyaa
I'm not sure how clear it is in the references, but for seafaring nations like Britain and Denmark, the freezing temperature of salt water is very significant. So setting the 0 of the Fahrenheit scale at that point makes sense. Maritime issues drove the development of clocks, thermometers, etc.
 
  • Like
Likes   Reactions: Battlemage!, parshyaa and DrClaude
upload_2016-12-23_19-53-26.png
 
  • Like
Likes   Reactions: Nikhil faraday, Battlemage! and parshyaa
The other well-known conversion method, based on the -40° coincidence of the two scales is, I think, easier to remember. The fact that I no longer remember it is utterly irrelevant.
 
  • Like
Likes   Reactions: parshyaa
FactChecker said:
I'm not sure how clear it is in the references, but for seafaring nations like Britain and Denmark, the freezing temperature of salt water is very significant. So setting the 0 of the Fahrenheit scale at that point makes sense. Maritime issues drove the development of clocks, thermometers, etc.

I fortified myself to argue with you with the aid of Google, which asserts that seawater freezes at 28.4°F. I seem to remember that Fahrenheit produced the lowest temperature possible to him in the day in his laboratory to get to his zero.
 
  • Like
Likes   Reactions: FactChecker
  • #10
David J Wilson said:
I fortified myself to argue with you with the aid of Google, which asserts that seawater freezes at 28.4°F. I seem to remember that Fahrenheit produced the lowest temperature possible to him in the day in his laboratory to get to his zero.
I am certainly not an expert in the history of this. I have seen it said a few times that 0°F is the freezing point of brine. (This reference says that 0°F was the lowest temperature he could get reliably by freezing brine. https://en.wikipedia.org/wiki/Brine . That makes sense to me.) I might have seen it explained as important for sailing, I don't remember. Maybe I just erroneously jumped to that conclusion. Certainly he would have wanted to include the temperature of freezing sea water in his temperature range.
 
Last edited:
  • #11
Is there an explanation as to why the two scales match up so nicely? The defined points are rather arbitrarily chosen.

BoB
 
  • #12
rbelli1 said:
Is there an explanation as to why the two scales match up so nicely? The defined points are rather arbitrarily chosen.

It is because the original definition of Fahrenheit was replaced in 1776 with one where 32 °F is 0 °C and 212 °F is 100 °C.
 
  • Like
Likes   Reactions: rbelli1

Similar threads

  • · Replies 5 ·
Replies
5
Views
3K
  • · Replies 2 ·
Replies
2
Views
2K
  • · Replies 1 ·
Replies
1
Views
3K
Replies
7
Views
2K
Replies
14
Views
4K
  • · Replies 1 ·
Replies
1
Views
16K
  • · Replies 6 ·
Replies
6
Views
2K
  • · Replies 37 ·
2
Replies
37
Views
7K
  • · Replies 18 ·
Replies
18
Views
3K
  • · Replies 9 ·
Replies
9
Views
2K