Does this series converge or diverge?

  • Thread starter Thread starter lillybeans
  • Start date Start date
  • Tags Tags
    Series
Click For Summary

Homework Help Overview

The discussion revolves around the convergence or divergence of a series involving oscillating functions, specifically focusing on the expression (2 + sin(n)) - 1/(2 + sin(n)). Participants explore the behavior of this expression as n approaches infinity, questioning whether it tends to zero and how this affects the overall series.

Discussion Character

  • Exploratory, Assumption checking, Conceptual clarification

Approaches and Questions Raised

  • Participants discuss the potential divergence of the series based on the oscillating nature of the sine function and its impact on the limit of the expression. Some suggest comparing the series to known forms like geometric series, while others question the validity of applying L'Hôpital's rule in this context.

Discussion Status

The discussion is active, with participants offering various insights and questioning assumptions about the behavior of the series. Some have suggested that the oscillation of the terms prevents the limit from approaching zero, while others are exploring different mathematical techniques that could be applicable to analyze the series.

Contextual Notes

Participants note the constraints of the homework context, including specific techniques that have been taught in class, which may guide the approach to solving the problem. There is an emphasis on the need to consider the oscillatory behavior of the sine function in the analysis.

lillybeans
Messages
67
Reaction score
1

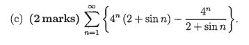
Homework Statement



118lt9g.jpg


The Attempt at a Solution



I really couldn't figure this one out. It's definitely not telescoping series because I don't see repeating terms that cancel. I would try to compare it to a geometric series. so what I did was factoring out a 4^n:

4^n(2+sinn-(1/2+sinn))

replacing (2+sinn-(1/2+sinn)) with "a"

Then I noticed the bounds 1<2+sinn<3

so the whole thing inside the bracket is oscillating between 0<a<8/3

So i concluded that the series is divergent? (highly unsure) because the coefficient that 4^n multiplies by (by coefficient I mean "a") is always either 0 or a positive number. So when it is 0, there will be no effect. When it is a positive number, the sums will add up, and the series will eventually go to infinity.. Eh.. is that.. a valid line of reasoning?

Thanks in advance,

Lilly.
 
Physics news on Phys.org
Since 4n→∞ as n→∞, the (2+sin n) - 1/(2+sin n) part had at least better go to 0. Can you show whether the limit of that part is 0 as n→∞?
 
Bohrok said:
Since 4n→∞ as n→∞, the (2+sin n) - 1/(2+sin n) part had at least better go to 0. Can you show whether the limit of that part is 0 as n→∞?

I am quite sure the limit of the bracket part doesn't go to zero because sin(n) is always oscillating.

But is it supposed to?
 
Last edited:
L'Hopital's rule doesn't apply since we don't have either of the indeterminate forms 0/0 or ∞/∞ (usually we can't use it when we have trig functions in the fraction like that), so we'll have to try something else.

2+sin n is definitely oscillating, but we can't really assume either way that the -1/(2+sin n) would make it tend to 0 or oscillate still.
Still, if you look at a graph, it looks just like a sine or cosine graph that's been translated and stretched, but I have no idea how you could write it as just one trig function...
 
You can show that the derivative of (2+sin x) - 1/(2+sin x) oscillates, so (2+sin n) - 1/(2+sin n) doesn't tend to 0, and so the series diverges.
 
Bohrok said:
You can show that the derivative of (2+sin x) - 1/(2+sin x) oscillates, so (2+sin n) - 1/(2+sin n) doesn't tend to 0, and so the series diverges.

Got it, thank you very much
 
The derivative of a function does not have to go to zero for the function itself to go to zero

Also, It's not enough to show that the continuous version of the function oscillates. For example [itex]\lim_{x\to \infty} cos(2 \pi x)[/itex] does not exist, but [itex]\lim _{n \to \infty} cos(2\pi n) = 1[/itex].

The argument to show that 2+sin(n)-1/(2+sin(n)) does not go to zero is only slightly non-trivial. Suppose that this is close to zero. Then 2+sin(n) is approximately 1/(2+sin(n)) so it must be that 2+sin(n) is approximately 1 and sin(n) is approximately -1. Hence it must be that n is very close to 3pi/2+2kpi for some k. Based on this prove that 2+sin(n+1)-1/(2+sin(n+1)) cannot be close to zero
 
Bohrok said:
You can show that the derivative of (2+sin x) - 1/(2+sin x) oscillates, so (2+sin n) - 1/(2+sin n) doesn't tend to 0, and so the series diverges.

Office_Shredder said:
The derivative of a function does not have to go to zero for the function itself to go to zero

Also, It's not enough to show that the continuous version of the function oscillates. For example [itex]\lim_{x\to \infty} cos(2 \pi x)[/itex] does not exist, but [itex]\lim _{n \to \infty} cos(2\pi n) = 1[/itex].

The argument to show that 2+sin(n)-1/(2+sin(n)) does not go to zero is only slightly non-trivial. Suppose that this is close to zero. Then 2+sin(n) is approximately 1/(2+sin(n)) so it must be that 2+sin(n) is approximately 1 and sin(n) is approximately -1. Hence it must be that n is very close to 3pi/2+2kpi for some k. Based on this prove that 2+sin(n+1)-1/(2+sin(n+1)) cannot be close to zero

I see. Thanks for the reply.

One additional question: Can you solve this question by using any of the following techniques? These are the techniques we learned in class, so it is most probable that our professor wants to test us on one of them, but it could be an anomaly.

- Comparison with geometric
- Comparison with p-series
- Ratio test
- Root test
- Divergence test
- Alternating series
- Limit comparison
 
O_S, I see that we can't just assume as you showed with that example.
The derivative in this case turned out to be (1+1/(sinx+2)2)cosx. The part in front is bounded above by 2 and bounded below by 10/9, so what else could be done to show that this doesn't settle on any number?
 

Similar threads

  • · Replies 3 ·
Replies
3
Views
2K
  • · Replies 5 ·
Replies
5
Views
2K
  • · Replies 7 ·
Replies
7
Views
3K
  • · Replies 2 ·
Replies
2
Views
2K
Replies
7
Views
2K
  • · Replies 2 ·
Replies
2
Views
2K
  • · Replies 1 ·
Replies
1
Views
2K
  • · Replies 6 ·
Replies
6
Views
2K
  • · Replies 3 ·
Replies
3
Views
2K
  • · Replies 1 ·
Replies
1
Views
2K