Easy entropy problem, what is the permitted entropy?

  • Thread starter Thread starter LCSphysicist
  • Start date Start date
  • Tags Tags
    Entropy
Click For Summary

Homework Help Overview

The discussion revolves around identifying permissible entropy states in thermodynamics, specifically referencing a problem from Callen's textbook. The original poster seeks to enumerate five physically possible entropies while noting some that cannot exist.

Discussion Character

  • Exploratory, Assumption checking

Approaches and Questions Raised

  • The original poster attempts to identify the missing fifth entropy and questions the validity of their findings. Some participants suggest considering violations of Callen's Postulate IV, while others propose examining the functional relationships between entropy and internal energy.

Discussion Status

The discussion is ongoing, with participants exploring various interpretations of entropy states and the implications of specific postulates. Some guidance has been offered regarding the examination of functional forms and conditions under which certain states may exist.

Contextual Notes

There is mention of a lack of direct equations to relate entropy to temperature, and the original poster expresses uncertainty about their approach. The discussion also highlights potential confusion regarding the definitions and implications of the entropic states being considered.

LCSphysicist
Messages
644
Reaction score
163
Homework Statement
All below
Relevant Equations
All below
1597506991462.png
1597506587080.png

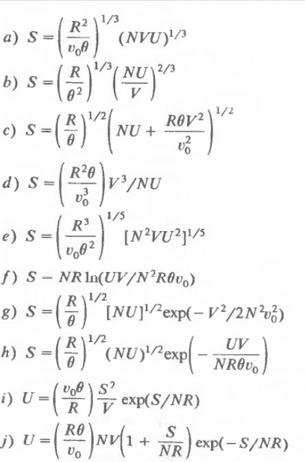
There is five physically possible entropy to exist, and five entropy which can't be real, find it all.

I could found just four entropy, what is the another?

B, H and J:
S(λU,λV,λN) ≠ λS(U,V,N)
D:
∂S/∂U < 0

what is the another?
(another or other??)
 
Physics news on Phys.org
This is a problem from Callen's textbook. Did you consider violations of Callen's Postulate IV?

1597509328072.png
 
TSny said:
This is a problem from Callen's textbook. Did you consider violations of Callen's Postulate IV?

View attachment 267814
Actually i thought about it, since was the only postulate i not mentioned, however, i don't know how could i deal with this, since i don't have an equation in the options which leave me direct to the temperature.
I don't think we can say U = NfkT/2 as generally do for some cases.
 
From the functional form of each relation between S and U, you can consider if there are any states where $$\left( \frac{\partial U}{\partial S} \right)_{V, N} = 0$$
If there are such states, do these states satisfy ##S = 0##?
 
  • Like
Likes   Reactions: LCSphysicist
TSny said:
From the functional form of each relation between S and U, you can consider if there are any states where $$\left( \frac{\partial U}{\partial S} \right)_{V, N} = 0$$
If there are such states, do these states satisfy ##S = 0##?
Oh, i was making a confusing zzz thx
 

Similar threads

  • · Replies 4 ·
Replies
4
Views
2K
Replies
1
Views
2K
  • · Replies 7 ·
Replies
7
Views
6K
Replies
2
Views
2K
  • · Replies 6 ·
Replies
6
Views
2K
  • · Replies 13 ·
Replies
13
Views
4K
  • · Replies 5 ·
Replies
5
Views
3K
  • · Replies 23 ·
Replies
23
Views
10K
  • · Replies 1 ·
Replies
1
Views
2K
  • · Replies 17 ·
Replies
17
Views
4K