Electric field of a point charge in uniform motion

Click For Summary
SUMMARY

The discussion focuses on the electric field of a point charge in uniform motion as described in Griffiths' "Introduction to Electrodynamics," specifically Chapter 12, page 527. Participants explore the implications of using polar coordinates, questioning the relevance of the z-coordinate and the dimensionality of the analysis. The consensus is that the electric field can be effectively analyzed in two dimensions while maintaining consistency with three-dimensional representations through appropriate coordinate transformations.

PREREQUISITES
  • Understanding of electric fields and point charges
  • Familiarity with Griffiths' "Introduction to Electrodynamics"
  • Knowledge of polar coordinates and their application in physics
  • Basic concepts of rotational symmetry in electromagnetism
NEXT STEPS
  • Study the derivation of electric fields for moving charges in Griffiths' text
  • Learn about the application of polar coordinates in three-dimensional physics
  • Research the implications of rotational symmetry in electromagnetic theory
  • Explore advanced topics in electrodynamics, such as the Liénard-Wiechert potentials
USEFUL FOR

This discussion is beneficial for physics students, educators, and researchers focusing on electromagnetism, particularly those studying the behavior of electric fields in relation to moving charges.

unscientific
Messages
1,728
Reaction score
13
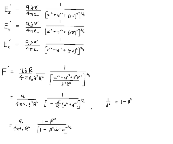
In Griffiths Chapter 12, pg 527:

Suppose a point charge is moving along x, we obtain the following E-fields:

Questions

1. Is the vector R solely in the x-y plane?

2. What happened to the coordinate 'z' ?

3. Why are they only doing things in the 2-D plane? Can we use rotational symmetry somewhere?

2ih5bn4.png
 
Last edited:
Physics news on Phys.org
When instead, I assume the particle to be moving along z-axis it fixes everything!

and i use x=Rsinθcosø, y = Rsinθsinø, z = R cos ø

The end result turns out beautifully to be the one as described, in 3 dimensions:

2n9icmg.png



I suspect that since Polar coordinates is usually defined with θ as angle between R and z-axis and ø as angle in x-y plane, everything matches.
 
bumpp
 

Similar threads

  • · Replies 6 ·
Replies
6
Views
715
  • · Replies 2 ·
Replies
2
Views
2K
  • · Replies 22 ·
Replies
22
Views
2K
Replies
92
Views
7K
  • · Replies 5 ·
Replies
5
Views
605
  • · Replies 14 ·
Replies
14
Views
3K
  • · Replies 14 ·
Replies
14
Views
3K
  • · Replies 9 ·
Replies
9
Views
2K
  • · Replies 6 ·
Replies
6
Views
2K
  • · Replies 1 ·
Replies
1
Views
2K