Entropy -- prove it increases for irreversible process

Click For Summary
SUMMARY

The discussion centers on the concept of entropy in the context of irreversible processes, specifically the throttling process. Participants agree that for a throttling process, the change in entropy (S2 - S1) must be greater than zero, confirming the irreversible nature of the process. The inquiry seeks to establish a proof for this assertion, referencing previous discussions for clarity. The consensus emphasizes the importance of understanding entropy rate balance in control volumes.

PREREQUISITES
  • Understanding of the Second Law of Thermodynamics
  • Familiarity with entropy concepts in thermodynamics
  • Knowledge of control volume analysis
  • Basic principles of irreversible processes
NEXT STEPS
  • Study the derivation of the entropy rate balance equation for control volumes
  • Research the implications of irreversible processes in thermodynamics
  • Examine case studies involving throttling processes in real-world applications
  • Learn about the mathematical proof of entropy changes in irreversible processes
USEFUL FOR

Students and professionals in thermodynamics, engineers working with fluid systems, and researchers interested in the principles of entropy and irreversible processes.

jangseok seo
Messages
7
Reaction score
0
hi all,

upload_2015-5-20_2-14-30.png

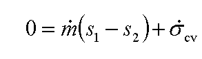
this is Entropy Rate Balance for Control Volumes.

in the case of throttling process,


upload_2015-5-20_2-17-43.png
.throttling process is irreversible process, so (S2- S1) must be greater than zero.

what i want to know is to prove that (s2-s1) is greater than zero.

Thank you in advance.
 

Attachments

  • upload_2015-5-20_2-7-59.png
    upload_2015-5-20_2-7-59.png
    10.2 KB · Views: 739
Science news on Phys.org
jangseok seo said:
hi all,

View attachment 83647
this is Entropy Rate Balance for Control Volumes.

in the case of throttling process,


View attachment 83652.throttling process is irreversible process, so (S2- S1) must be greater than zero.

what i want to know is to prove that (s2-s1) is greater than zero.

Thank you in advance.
I thought we had already answered this question in the following thread: https://www.physicsforums.com/threads/throttling-process.814170/#post-5112310. Were you dissatisfied with the explanation given in that thread? If so, what was it that you disagree with?

Chet
 

Similar threads

  • · Replies 8 ·
Replies
8
Views
4K
  • · Replies 30 ·
2
Replies
30
Views
3K
  • · Replies 29 ·
Replies
29
Views
6K
Replies
3
Views
2K
  • · Replies 16 ·
Replies
16
Views
2K
  • · Replies 3 ·
Replies
3
Views
3K
  • · Replies 22 ·
Replies
22
Views
6K
  • · Replies 5 ·
Replies
5
Views
3K
  • · Replies 1 ·
Replies
1
Views
2K
  • · Replies 5 ·
Replies
5
Views
2K