Equiangularity of a Polar Equation

  • Thread starter Thread starter daisukekazama
  • Start date Start date
  • Tags Tags
    Polar
Click For Summary
SUMMARY

The discussion centers on demonstrating that a specific polar equation connects two points, (r_{0}, θ_{0}) and (r_{1}, θ_{1}), along a curve that maintains a constant angle with respect to rays defined by constant θ. The equation in question describes a loxodrome when projected onto a sphere, indicating its nature as an equiangular spiral or logarithmic spiral. Participants emphasize the challenge of calculating the derivative dr/dθ and explore alternative methods to simplify this process, ultimately suggesting the extraction of constants to facilitate the derivative calculation.

PREREQUISITES
  • Understanding of polar coordinates and equations
  • Familiarity with derivatives and differentiation techniques
  • Knowledge of loxodromes and their properties
  • Basic concepts of stereographic projection
NEXT STEPS
  • Study the properties of logarithmic spirals in polar coordinates
  • Learn about the application of stereographic projection in geometry
  • Review techniques for simplifying derivatives, including the product rule
  • Explore the mathematical implications of loxodromes in navigation and geography
USEFUL FOR

Students and mathematicians interested in advanced calculus, particularly those studying polar equations, derivatives, and geometric projections. This discussion is especially beneficial for those tackling problems related to equiangular spirals and their applications.

daisukekazama
Messages
2
Reaction score
0

Homework Statement


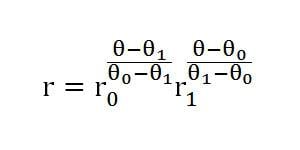
Show that the equation below connects the point [tex](r_{0}, \theta_{0})[/tex] to the point [tex](r_{1}, \theta_{1})[/tex], [tex]\theta_{0}\neq\theta_{1}[/tex], along a curve that everywhere forms the same angle with the rays [tex]\theta=constant[/tex].

And here's the equation. I can't get the Latex to work... no clue why.

Untitled-1-2.jpg


Homework Equations


N/A.

The Attempt at a Solution


This is part of a larger problem on stereographic projection - I've figured out that this equation, if projected onto a sphere, traces out a loxodrome. I also know that I essentially have to prove that that mess of an equation is a equiangular spiral (logarithmic spiral).

The problem is, no matter how I look at it, I need to calculate the derivative [tex]dr/d\theta[/tex], which - from where I'm looking - looks like one hell of a messy and convoluted derivative, which I'd rather not do.

Is there an easier, cleaner, more elegant way of solving this problem than brute-forcing the derivative? If not, how do I do the derivative?
 
Physics news on Phys.org
I'm not sure whether you have addressed this part of the question or not, but substitution shows that r indeed connects the given points. I'm not sure of a more elegant way at the moment, but the derivative is much easier to calculate if you extract constants in the way r^(x-b) = r^x/r^b.

Then you are left simply in the form [tex]r= C r_0^{t\theta} r_1^{-t\theta}[/tex] and apply the product rule.
 
Thank you - that helped.
 

Similar threads

  • · Replies 11 ·
Replies
11
Views
3K
  • · Replies 5 ·
Replies
5
Views
3K
  • · Replies 2 ·
Replies
2
Views
2K
  • · Replies 2 ·
Replies
2
Views
5K
Replies
1
Views
2K
  • · Replies 6 ·
Replies
6
Views
2K
Replies
7
Views
3K
  • · Replies 4 ·
Replies
4
Views
2K
  • · Replies 2 ·
Replies
2
Views
3K
  • · Replies 14 ·
Replies
14
Views
3K