Error in Textbook Series: Who is Right?

  • Context: Undergrad 
  • Thread starter Thread starter malawi_glenn
  • Start date Start date
  • Tags Tags
    Error Series Textbook
Click For Summary

Discussion Overview

The discussion revolves around a perceived error in a textbook regarding the convergence of a geometric series, specifically the conditions under which the series converges based on the variable |z|. Participants are examining the claims made in the textbook versus their own calculations and interpretations.

Discussion Character

  • Debate/contested
  • Mathematical reasoning

Main Points Raised

  • One participant claims that the series converges for |z| < 1/√2, while the textbook states it converges for |z| < 1/2.
  • Another participant questions how the original poster evaluated an infinite sum in a finite time.
  • Some participants argue that if the series converges for |z| < 1/√2, it must also converge for |z| < 1/2, suggesting a lack of error.
  • The original poster expresses frustration over not receiving confirmation of their findings and emphasizes the importance of consistency in the textbook.
  • Several participants discuss the limitations of numerical checks in proving convergence, suggesting that numerical evidence does not constitute a formal proof.
  • There is a suggestion that mistakes in textbooks are common, and some participants express skepticism about the significance of the claim.
  • One participant clarifies that the original poster's assertion about the radius of convergence is not necessarily a contradiction but rather a different aspect of the convergence condition.

Areas of Agreement / Disagreement

Participants do not reach a consensus on whether the textbook contains an error. There are competing views regarding the interpretation of convergence conditions and the validity of numerical checks as proof.

Contextual Notes

Some participants highlight the ambiguity in the original poster's question regarding whether they were asking for a sufficient condition or a necessary and sufficient condition for convergence.

Who May Find This Useful

This discussion may be of interest to students and educators in mathematics and physics, particularly those dealing with series convergence and textbook discrepancies.

malawi_glenn
Science Advisor
Messages
6,735
Reaction score
2,436
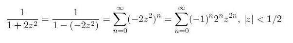
Hi i found this "error" in my textbook in series.

https://www.physicsforums.com/attachment.php?attachmentid=9420&stc=1&d=1173538014

This is a geometric one, it converges for |z|< 1/rot(2) when i calculate this, but the textbook claims that |z|<1/2

I also checked different values on z and i get a finite value even when z is 0,7
[ 0,5< 0,7 < 1/rot(2) ]

Who is right? :confused:
 

Attachments

  • serie2.JPG
    serie2.JPG
    5.8 KB · Views: 678
Physics news on Phys.org
An error in a textbook? I've never seen such a thing before!

Why do you think a book is constantly revised with newer editions?
 
How did you evaluate an infinite sum in a finite time?
 
If the result is true when [tex]|z| < 1/\sqrt 2[/tex], then it is true when [tex]|z| < 1/2[/tex].

So what's the error?
 
Yes of course i know that books don't have right all the time, but science i didn't find that in the errata, i wanted to ask others to see if i was right or not.. why are you all so upset?!? Why can't you just confirm my discovery so that i can report this to the author?

And yes, of course |z| < 1/2 is ONE solution, but the author is giving the COMPLETE solution in all other places in the book, so you must be consistent...

And its not that hard to check if an geometric series is convergent or divergent.. just take n=156 on your calculator than you take 157 etc, and you see if the value is getting close to 1/(1-x) ... (if x is the argument in your geometric series)... The value of a geometric serie is less than unity if the serie converges as n goes to infinity.. :cool:
 
So you put a few terms into a calculator and decided that was the behaviour for infinitely many terms? That isn't how you prove things.

It does look like a mistake, by the way.
 
matt grime said:
So you put a few terms into a calculator and decided that was the behaviour for infinitely many terms? That isn't how you prove things.

It does look like a mistake, by the way.


I never stated that i PROOVED, i checked.. and as i said, for a geometric serie it is a trivial thing to see..
 
Yea matt I do that sometimes as well, it doesn't prove anything at all, but sometimes its obvious what its converging to, can give you a tiny prod in the right direction.
 
If you check it, then you demonstrate it to be true, i.e. you prove it. Numerical things like this merely suggest, they do not verify.
 
  • #10
matt grime said:
If you check it, then you demonstrate it to be true, i.e. you prove it. Numerical things like this merely suggest, they do not verify.

No i checked if the sum SEEMED to reach a finite value for different |z|, THATS WHY i asked if my assumptions were correct.

Why can't you just answer my questions in the first place? Why must everybody be so besserwisser? "omg an error in textbook, no way", those kind of things.. And "well if it is true for |z|<1/rot2 , than it is also true for |z|<1/2", are you all in a bad mood or so? Why can't you be helpful?!
 
  • #11
We're trying to be helpful, please note these are people who are not getting paid to answer your questions! These people are very knowledgeable people who could better use their time! If you think they are being pedantic, hack it, your getting free advice from smart people!
 
  • #12
Gib Z said:
We're trying to be helpful, please note these are people who are not getting paid to answer your questions! These people are very knowledgeable people who could better use their time! If you think they are being pedantic, hack it, your getting free advice from smart people!

Treat your neighbour as you self want to be treated..
 
  • #13
malawi_glenn said:
No i checked if the sum SEEMED to reach a finite value for different |z|, THATS WHY i asked if my assumptions were correct.


you have been answered on this topic.

"omg an error in textbook, no way",

it's irony. mistakes in textbooks are very frequent, and almost not worth pointing out.

And "well if it is true for |z|<1/rot2 , than it is also true for |z|<1/2", are you all in a bad mood or so? Why can't you be helpful?!

this was pointing out that it wasn't clear if you were asking for a sufficient condition or a necessary and sufficient condition.

If you had said that the book asserted the radius of convergence was something, then that would be different. What you wrote is, if as litereally appears in the book, perfectly correct. That sum does converge for |z|<1/2. That is not the radius of convergence, but that is strictly a different matter from what you asked.
 

Similar threads

  • · Replies 10 ·
Replies
10
Views
3K
  • · Replies 6 ·
Replies
6
Views
4K
  • · Replies 14 ·
Replies
14
Views
3K
  • · Replies 5 ·
Replies
5
Views
3K
  • · Replies 3 ·
Replies
3
Views
4K
  • · Replies 2 ·
Replies
2
Views
2K
Replies
3
Views
2K
  • · Replies 8 ·
Replies
8
Views
2K
Replies
8
Views
2K
  • · Replies 5 ·
Replies
5
Views
3K