Explain Bernoulli at the molecular level?

  • Context: Undergrad 
  • Thread starter Thread starter user079622
  • Start date Start date
Click For Summary

Discussion Overview

The discussion revolves around the molecular-level explanation of Bernoulli's principle, particularly focusing on static and dynamic pressure in airflow. Participants explore the implications of varying speeds on static pressure and the relationship between molecular behavior and pressure changes, questioning the applicability of Bernoulli's principle in different scenarios.

Discussion Character

  • Exploratory
  • Technical explanation
  • Debate/contested
  • Conceptual clarification

Main Points Raised

  • Some participants assert that static pressure remains the same as atmospheric pressure regardless of speed, while others challenge this view by referencing Bernoulli's principle.
  • There is a discussion about whether the concept of "molecules hitting walls" aids or hinders understanding of static pressure and its relationship to airflow speed.
  • Some participants propose that static pressure does not depend on airflow speed, citing the behavior of a pitot tube as evidence.
  • Others argue that accelerated flow leads to a reduction in static pressure, suggesting that pressure gradients are necessary for acceleration.
  • A distinction is made between flat surfaces and curved surfaces in airflow, with implications for how Bernoulli's principle applies in different contexts.
  • Participants express uncertainty about how to correctly apply Bernoulli's principle in various situations, particularly regarding the conditions under which it is valid.

Areas of Agreement / Disagreement

Participants do not reach consensus on the applicability of Bernoulli's principle in different scenarios, with multiple competing views on the relationship between molecular behavior, static pressure, and airflow speed remaining unresolved.

Contextual Notes

Participants highlight the complexity of defining static pressure and its transmission at the molecular level, noting that different assumptions and conditions may affect the discussion. The relationship between pressure and airflow speed is also framed as dependent on specific contexts, such as whether the flow is accelerated or constant.

  • #181
rcgldr said:
Yes in my prior post, I mentioned that the pressure jump occurs behind the wing.
A jump implies a change in pressure over zero distance, so a discontinuity in the pressure field. In that sense there is no jump in the pressure. Actually, the pressure distribution is quite smooth around a wing. Also, there is only a small pressure gradient behind the wing at all. The pressure difference that causes lift is between the bottom and top of the wing. This is what the pressure distribution around a wing (airfoil in this case, but close enough) looks like:

1747608503492.webp




rcgldr said:
In level flight, the weight of the aircraft is transmitted to the air via acceleration (work is done),

Let me repeat myself: if you analyze the flow in a wing-fixed reference frame there is no work being done to the fluid in the flow domain.

rcgldr said:
and the air eventually transfers that weight to the surface of the earth. In closed system, consisting of air and aircraft, such as a model plane inside a large sealed box, the weight of the system is the same if the aircraft is resting at the bottom or in the air with no vertical component of acceleration. Lift involves downwash as seen in this video of an owl flying through a wall of bubbles, generating vortices that move downwards:

True, but I'm not sure how that relates to what you previously said.
 
Physics news on Phys.org
  • #182
Arjan82 said:
A jump implies a change in pressure over zero distance ...
"So there is an abrupt change in pressure across the propeller disk". Other articles use the term pressure jump to describe this. The distance is not zero, but it is small.

https://www.grc.nasa.gov/www/k-12/VirtualAero/BottleRocket/airplane/propth.html

Arjan82 said:
if you analyze the flow in a wing-fixed reference frame there is no work being done to the fluid in the flow domain.

The air ahead of a wing has no downwards component of flow, while the air behind a wing does have a downwards component of flow, and this component is greater in magnitude than the relative reduction in backwards flow related to drag (if lift to drag ratio is high enough, and relative velocity is not very high), so a net energy increase of the affected air, so work is done. Simplified models ignore the induced downwash, but more realistic models include induced downwash.
 
Last edited:
  • #183
rcgldr said:
"So there is an abrupt change in pressure across the propeller disk". Other articles use the term pressure jump to describe this. The distance is not zero, but it is small.

https://www.grc.nasa.gov/www/k-12/VirtualAero/BottleRocket/airplane/propth.html

This is an actuator disk model. That is not the same as 'pressure over a wing'... The actuator disk model models the effect of a propeller, not the propeller itself. It is also not in the 'blade-fixed reference frame' as I noted a few times, since it does not include the propeller blade at all.

rcgldr said:
The air ahead of a wing has no downwards component of flow, while the air behind a wing does have a downwards component of flow, and this component is greater in magnitude than the relative reduction in backwards flow related to drag (if lift to drag ratio is high enough, and relative velocity is not very high), so a net energy increase of the affected air, so work is done. Simplified models ignore the induced downwash, but more realistic models include induced downwash.

Nope, this is just simply not true. There is no model that I know that ignores downwash. Downwash is directly related to the 'lift induced drag' which is an essential part of the drag of a wing or propeller blade (usually that's around 80% or 90% of the total drag!). So a model without downwash is useless.

Also, the air is effectively rotated, not accelerated. You increase the vertical velocity of the flow but you reduce the horizontal velocity. The earliest useful model of a wing was called 'the lifting line model' This model is just a vortex in space. A vortex does not add energy, it adds rotation to the flow (and it does model downwash!). However, this was a huge step forward in computations around wings.
 
  • #184
@Arjan82 Just to be clear. I assume ##\boldsymbol {V_2} ## ( the outflow velocity vector ) is parallel to the incline in the frame of reference of the cart:

1747612486465.webp


$$ 0 = V_1\langle -1 i + 0j \rangle \cdot A_1 \langle 1i+0j \rangle + V_2\langle - \cos \theta i + \sin \theta j \rangle \cdot A_2 \langle 0i+1j \rangle $$

Giving scalar equation:

$$ V_1 A _1 = V_2 A_2 \sin \theta$$

Is this incorrect?
 
  • #185
Ah... you had assumed the direction of V2, that was not clear to me. Also V1 and V2 are the magnitude of the vectors V1 and V2, that was also not clear to me... But then your equation is correct indeed.
 
  • Like
Likes   Reactions: erobz
  • #186
Arjan82 said:
Ah... you had assumed the direction of V2, that was not clear to me. Also V1 and V2 are the magnitude of the vectors V1 and V2, that was also not clear to me... But then your equation is correct indeed.
Thank You, yeah I did it half assed- I deserved a misread.

Is it ok to assume that the outflow vector is parallel ( more or less) to the slope in the carts reference frame, or is there a strong reason that it shouldn't be that will haunt me later? Assuming incompressible, inviscid flow.
 
Last edited:
  • #187
Arjan82 said:
increase the vertical velocity of the flow but reduce the horizontal velocity.
True but those velocities normally do not cancel out (more on this in the last paragraph).

Switch this to using the air as a frame of reference, with initial velocity 0 before a wing passes through a volume of air, and mostly downwards (lift) and somewhat forwards (drag) velocity after a wing passes through that volume of air. In this frame of reference, the wing increases the kinetic and pressure energy of the air immediately behind the wing. The average velocity where the affected air's pressure returns to ambient is called the exit velocity. This also explains how the air eventually transmits the weight of an aircraft onto the surface of the earth.

That pressure jump can be explained as the air streams above and below a wing converging (colliding) behind the wing, with a net downwards change of angle in the converged streams.

Another way to consider this is a glider in a steady (non-accelerating) descent, gravitational potential energy decreases, energy of the air increases, conservation of energy. From the air's frame of reference, most of that energy increase is related to downwash (lift), a small amount of it to forward wash (drag), and smaller still amounts related to sound and temperature. From the aircraft | wing's frame of reference, there is still energy conservation, so the energy of the air is still increased, but a small component of drag is in the direction of gravity. In the case of Nimbus 4 glider, with a 60:1 glide ratio at 110 kps, I doubt that small component of drag in the direction of gravity accounts for much.
 
Last edited:
  • #188
Arjan82 said:
I'm not sure if you understand that these are two physically different cases, this is not just a change in reference frame. Case 1 is a rocket accelerating through the air, case 2 is a wind tunnel test where the rocket is bolted to the ground and the air speed in the tunnel is speeding up.



Ok, you are analyzing the windtunnel case here. Is that what you intent to do?
Yes it can be in wind tunnel or in open wind tunnel or theoretical model where all atmosphere is accelerate.
 
Last edited:
  • #189
A.T. said:
user079622 said:
"Constant speed" is ambiguous. There is no absolute speed.
"Accelerate" is ambiguous. You have to differentiate proper acceleration and coordinate acceleration.
So force that ball exert on wall is not equal in both case?
That's not what I wrote. I wrote that your cases are not well defined, because you use ambiguous terms.
 
  • #190
user079622 said:
Yes it can be in wind tunnel or in open wind tunnel or theoretical model where all atmosphere is accelerate.

There is a difference in 'can be' and 'is'... You cannot compare that case with a rocket in free flight if the rocket is accelerating. It doesn't seem that you are getting that point.
 
  • #191
@Arjan82

your wrote: "case 2 is a wind tunnel test where the rocket is bolted to the ground and the air speed in the tunnel is speeding up."

I respond to that: "Yes it can be in wind tunnel or in open wind tunnel or theoretical model where all atmosphere is accelerate."

what I write wrong?
 
  • #192
rcgldr said:
True but those velocities normally do not cancel out (more on this in the last paragraph).

Momentum needs to cancel out, not velocity. Can you further substantiate this claim? How do you relate that to the fact that a wing can literally be modelled as a vortex, as already been shown by Prandtl in 1918 I believe?

rcgldr said:
Switch this to using the air as a frame of reference, with initial velocity 0 before a wing passes through a volume of air, and mostly downwards (lift) and somewhat forwards (drag) velocity after a wing passes through that volume of air.

Ok, I don't know how to make it more clear than I already did, what I'm saying is that there is no energy added to the flow, and therefore that Bernoulli is valid if and only if you look at the problem from a reference frame that is attached to the wing!

So if you use 'air as reference frame' (let's not use fluid as a reference frame, it is earth-fixed with zero wind or something) then you can indeed not use Bernoulli. But Bernoulli is used in calculations over a wing or a propeller all the time. In fact, I'm making a living by doing that...

rcgldr said:
In this frame of reference, the wing increases the kinetic and pressure energy of the air immediately behind the wing. The average velocity where the affected air's pressure returns to ambient is called the exit velocity. This also explains how the air eventually transmits the weight of an aircraft onto the surface of the earth.

You're mixing up your models sir... 'exit velocity' is not used in flow over a wing or over a propeller. An actuator disk has an 'exit velocity', or the flow through a nozzle or shroud. But those are not the cases we are talking about now.

rcgldr said:
That pressure jump can be explained as the air streams above and below a wing converging (colliding) behind the wing, with a net downwards change of angle in the converged streams.

That's just BS. A fluid cannot sustain a pressure jump unless you are going supersonic. Talking about a pressure jump you were referring to the actuator disk model. The actuator disk is a model where you apply a pressure jump as a means to model the effect of a propeller, not the propeller itself!

rcgldr said:
Another way to consider this is a glider in a steady (non-accelerating) descent, gravitational potential energy decreases, energy of the air increases, conservation of energy.

From the earth's frame of reference yes, from the glider's frame of reference no, because from the glider's frame of reference there is no altitude loss...

rcgldr said:
From the air's frame of reference, most of that energy increase is related to downwash (lift), a small amount of it to forward wash (drag), and smaller still amounts related to sound and temperature.
True, although changes in energy due to sound and temperature are many orders of magnitude lower than due to drag, viscosity, turbulence...

rcgldr said:
From the aircraft | wing's frame of reference, there is still energy conservation,
True
rcgldr said:
so the energy of the air is still increased,
Wrong. This is where you are mistaken. From the wing's frame of reference there is no energy added. For energy to be added to the system you need you need a moving boundary. But since you are looking at the problem from the wing's perspective, there is no moving boundary!

rcgldr said:
but a small component of drag is in the direction of gravity.
?? I don't know what you mean here.
rcgldr said:
In the case of Nimbus 4 glider, with a 60:1 glide ratio at 110 kps, I doubt that small component of drag in the direction of gravity accounts for much.
 
Last edited:
  • #193
Arjan82 said:
There is a difference in 'can be' and 'is'... You cannot compare that case with a rocket in free flight if the rocket is accelerating. It doesn't seem that you are getting that point.
At least it’s not clear what "all atmosphere is accelerate" is supposed to mean.

If you could apply uniform homogeneous proper acceleration to a an entire airmass by some force field (not by pushing the air mass at one end), that would be equivalent to the non-inertial frame of the rocket, where the airmass is subject to the uniform inertial force -ma. In neither case you have a pressure gradient in the free-stream, because the acceleration of an air packet is not due to the force from neighboring packets.

But in a wind tunnel you cannot keep uniform velocity across the test section, while changing that velocity over time. The air that is currently in the test section, must be properly accelerating to achieve that change over time, which implies a pressure gradient.
 
Last edited:
  • Like
Likes   Reactions: Lnewqban and russ_watters
  • #194
rcgldr said:
From the aircraft | wing's frame of reference, there is still energy conservation, so the energy of the air is still increased,
What?

In the inertial rest frame of the wing, there is no work done by/on the wing. So, except of heat and sound, all the energy that the air has, stays in the air, none is added or removed. Ideally the air is just changing direction, so its macroscpic kinetic energy stays constant. But realistically it is slowed down so some macroscpic kinetic energy is converted to heat and sound.
 
  • #195
erobz said:
Yeah, I want to second this. This is how I interpret what was said.
Key question is, can force which is causing the object to accelerate diminishes instantaneously with its contact with the wall? I think in real life not.
 
Last edited:
  • #196
user079622 said:
Key question is, can force which is causing the object to accelerate diminishes instantaneously with its contact with the wall? I think in real life not.
In real life nothing is instantaneous.
 
  • #197
erobz said:
If this was happening in a near vacuum, and there were a line of very small particles (atoms?) sitting there at rest and the cart with a vertical face is coming along impacting them sequentially, conservation of momentum an energy apply here and depend on what the velocity of the cart is when it strikes any particular atom (whether or not energy is conserved in the collision).

If the cart is accelerating while it's hitting these particles seems to be immaterial to the outcome for the particle. Its behavior depends on the relative mass between the particle and cart, and velocity of the cart, not the carts acceleration.

So I feel like I better derive the same force from the air on the cart as a function of the carts velocity whether the cart is accelerating or moving at constant velocity under the action of the for ##F## pushing it along.
Yes, in rare gas, where the interaction of the particles with each other can be ignored, everything is much simpler, and the acceleration of the cart plays no role, just it's instantaneous velocity. So, if your derivation is based on this assumption, you should get the same force.

But in a dense gas / liquid I would not rely on this for arbitrarily large accelerations.
 
Last edited:
  • #198
user079622 said:
@Arjan82

your wrote: "case 2 is a wind tunnel test where the rocket is bolted to the ground and the air speed in the tunnel is speeding up."

I respond to that: "Yes it can be in wind tunnel or in open wind tunnel or theoretical model where all atmosphere is accelerate."

what I write wrong?

Since your original question was about what a well-placed static port would measure on an accelerating rocket, I would assume you mean a rocket in free flight. So now you are saying you are talking about a rocket that is bolted on the ground. So I'm lost to what your question now actually is.

Also, you said 'can be'. That implies it als 'can be' something else. So it might be that you are thinking, 'well you can talk about a rocket bolted to the ground, but you don't have to. It might also just be in free flight'. Which would be the wrong conclusion.

So, I'm trying to probe whether you got the message that when the rocket is accelerating, you cannot*) switch between case 1 and 2, these are physically different cases.

Last: I don't know what you mean with 'an open wind tunnel'.

And just to state what I think should now be obvious: if a rocket is bolted to the ground and the air around it is accelerated, the static probe will not measure the ambient pressure. What it will measure highly depends on the actual configuration.

*) not in the same way as case 1 I mean. You need different equations to describe the situation.
 
  • #199
Arjan82 said:
From the earth's frame of reference yes, from the glider's frame of reference no, because from the glider's frame of reference there is no altitude loss...

A.T. said:
In the inertial rest frame of the wing, there is no work done by/on the wing.

Consider earth, air, and glider as a closed system, and the earth as a frame of reference. Gravitational potential energy is a function of distance between earth and glider. regardless of what inertial frame of reference is used. From the glider's frame of reference, the earth is moving closer to the glider, gravitational potential energy decreases, energy of the air increases, energy is conserved.
 
Last edited:
  • Like
Likes   Reactions: Lnewqban
  • #200
erobz said:
Is it ok to assume that the outflow vector is parallel ( more or less) to the slope in the carts reference frame, or is there a strong reason that it shouldn't be that will haunt me later? Assuming incompressible, inviscid flow.

Depends on what you want to do with the results. It is not really correct. It depends on the next steps.
 
  • #201
rcgldr said:
Consider earth, air, and glider as a closed system. Gravitational potential energy is a function of distance between earth and glider, regardless of what inertial frame of reference is used. From the glider's frame of reference, the earth is moving closer to the glider, gravitational potential energy decreases, energy of the air increases, energy is conserved.

Please re-read the appropriate books on this topic. Nobody is denying that a glider is converting potential energy into kinetic energy of the air. But that's only true from the earth-fixed reference frame.

The question is whether you can apply Bernoulli on a wing. I say yes, because no energy is added to the flow in the frame of reference that is attached to the wing. You are not providing any additional arguments to the point you are making and the point that we have debunked a few times now, and in fact every fluid dynamicist is using this fact on a daily basis.

Energy is not frame independent. In the reference frame attached to the wing there are no moving boundaries, so no work is being done. From the wing's perspective it is the Earth's surface that is coming closer, so from the wing's perspective it is actually the Earth that is doing the work (since that is now a moving boundary) not the wing.

Please do not simply repeat your statement, but provide extra arguments or some reasoning on why you think you are right.
 
  • #202
Arjan82 said:
only true from the earth-fixed reference frame. Energy is not frame independent.
What I stated is that conservation of energy (not the amount of energy) in a closed system is frame independent.

Lift and drag parameters for an airfoil can be calculated assuming no energy change (Navier Stokes, Kutta Joukowski, Euler, ...) but that doesn't mean that an energy change does not occur. My assumption here is that most of the energy change occurs behind the wing, and is not needed to calculate flows and pressures on the airfoil itself.

Gravitational potential energy is frame independent, it's a function of distance between objects (-G M m / r). From the earth frame, the glider moves closer, from the glider frame the earth moves closer. So if using the glider frame of reference, as the earth gets closer, where is that decrease in gravitational energy going?
 
Last edited:
  • Like
Likes   Reactions: Lnewqban
  • #203
Arjan82 said:
Depends on what you want to do with the results. It is not really correct. It depends on the next steps.
Nothing other than try to get some quantitative model that acts reasonable enough to be worth studying a bit. My other goal is just to learn how these equations apply in different circumstances under different assumptions, explore for fun.
 
  • #204
rcgldr said:
What I stated is that conservation of energy (not the amount of energy) in a closed system is frame independent.

That is indeed what you also stated, and that is true, I'm not arguing that.

But what you also stated is that if you are in the frame of reference attached to the wing, energy is added to the flow. And that is NOT true.

rcgldr said:
Lift and drag parameters for an airfoil can be calculated assuming no energy change (Navier Stokes, Kutta Joukowski, Euler, ...) but that doesn't mean that an energy change does not occur.

You need to keep your eyes on the ball, because you are moving the goalposts... For Navier-Stokes or Euler there can be energy change, no problem. Kutta Joukowski is very specifically derived for flow around an airfoil from the frame of reference of that airfoil. So in that case you really NEED to have no energy exchange (the word 'assumption' implies there could be energy exchange but it is somehow not relevant enough, that is NOT what we are talking about here). However, none of this is the point.

The point is whether Bernoulli can be applied or not. In the derivation of Bernoulli you need to assume there is no energy added to the flow anywhere, not just on the wing's surface.

rcgldr said:
My assumption here is that most of the energy change occurs behind the wing,

Assumption?!? That is a very wrong assumption. You are trying to fit your misconception to your story. But it just doesn't fit. You need to reconsider this assumption.

There are only several specific ways you can add energy to a flow:
  • Moving boundaries (work is a force over a distance). From the perspective of the wing, there are no moving boundaries
  • Body forces, i.e. volume forces directly applied to an air parcel itself. This can be gravity or magnetic forces if you have a ferrofluid. But for potential flow gravity drops out of the equation because it is a conservative force field, so no body forces doing work in this case.
  • Some type of direct heating, and I'm sure you can think of som other exotic ways which are not relevant here.

So, none of the above mechanisms apply for a wing analyze from a reference frame that is attached to the wing. Conclusion: no energy is added to the flow in this case. Please explain how energy would be added to the flow behind the wing. How does that work?!?

rcgldr said:
and is not needed to calculate flows and pressures on the airfoil itself.

That is again simply not true. The effect of pressure is not just felt on the airfoil itself, it propagates well beyond that. The Kutta Joukowski equation is actually a solution of the entire flow around the airfoil, not just on the surface. So there is no location around the airfoil where it is allowed to add energy, not on the surface, not behind it, nowhere... Because if you do, Kutta Joukowski is not valid anymore...

rcgldr said:
Gravitational potential energy is frame independent, it's a function of distance between objects (G M m / r).

That is not true, read a mechanics book.

rcgldr said:
From the earth frame, the glider moves closer, from the glider frame the earth moves closer. So if using the glider frame of reference, as the earth gets closer, where is that decrease in gravitational energy going?
To the air... But the pressure field of a slowly moving earth towards the glider has hardly any influence on the results, you can happily ignore that. However, technically, this is an assumption. A very very mild one though...
 
  • #205
@Arjan82 My Next step is The Momentum Equation. I'm going to try and parse out how to apply it to this problem to derive the force from the air when the frame is the ground with an accelerating cart. I hope ( based on this discussion) to find that it will be equivalent to the force from the air on the cart when the cart is moving at a constant velocity only when I ignore the details of the acceleration of the air in the control volume. After that I hope to explore how to handle some forced kinematics in the unsteady term ( my ignorant assumptions) - I only hope there to explore how the machinery of the equations work when I give them some inputs about what is happening inside the control volume - when its time for that - probably in a new thread.
 
Last edited:
  • #206
erobz said:
@Arjan82 My Next step is The Momentum Equation. I'm going to try and parse out how to apply it to this problem to derive the force from the air when the frame is the ground with an accelerating cart. I hope ( based on this discussion) to find that it will be equivalent to the force from the air on the cart when the cart is moving at a constant velocity only when I ignore the details of the acceleration of the air in the control volume. After that I hope to explore how to handle some forced kinematics in the unsteady term ( my ignorant assumptions) - I only hope there to explore how the machinery of the equations work when I give them some inputs about what is happening inside the control volume - when its time for that - probably in a new thread.

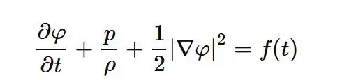
I can save you a lot of trouble. Look again at this equation:
1747673683732.webp


You can easily rewrite this equation to be expressed as an expression for the static pressure:
$$
p = \rho \left(f(t) - \frac{\partial \phi}{\partial t} - \frac{1}{2}\left|\nabla \phi\right|^2 \right)
$$

If you assume acceleration (and since this equation is derived for an inertial frame of reference, we are talking about a cart that is actually moving with respect to the frame of reference), then ##\partial\phi / \partial t## is not zero.

But if you assume acceleration is zero, then ##\partial \phi / \partial t = 0##. Since you want to compare the time instance that velocity is equal for both the non-accelerating and accelerating case, that means that ##\nabla \phi## is equal for both cases. Therefore, the static pressure ##p## must change.

So, whatever you come up with, it has to agree with this analysis.
 
  • Like
Likes   Reactions: erobz
  • #207
Arjan82 said:
But what you also stated is that if you are in the frame of reference attached to the wing, energy is added to the flow. And that is NOT true.
The glider is adding turbulence to the flow. The kinetic energy embodied in turbulence is an invariant. Of course the turbulence eventually dissipates into thermal energy. That is also an invariant.
 
  • #208
jbriggs444 said:
The glider is adding turbulence to the flow. The kinetic energy embodied in turbulence is an invariant. Of course the turbulence eventually dissipates into thermal energy. That is also an invariant.
But in that case Bernoulli doesn't apply anyway. In the whole discussion we (at least I am) talking about potential flow.
 
  • #209
Arjan82 said:
I can save you a lot of trouble. Look again at this equation:
View attachment 361250

You can easily rewrite this equation to be expressed as an expression for the static pressure:
$$
p = \rho \left(f(t) - \frac{\partial \phi}{\partial t} - \frac{1}{2}\left|\nabla \phi\right|^2 \right)
$$

If you assume acceleration (and since this equation is derived for an inertial frame of reference, we are talking about a cart that is actually moving with respect to the frame of reference), then ##\partial\phi / \partial t## is not zero.

But if you assume acceleration is zero, then ##\partial \phi / \partial t = 0##. Since you want to compare the time instance that velocity is equal for both the non-accelerating and accelerating case, that means that ##\nabla \phi## is equal for both cases. Therefore, the static pressure ##p## must change.

So, whatever you come up with, it has to agree with this analysis.
I'm sure you are correct, but my objective ( finding the force acting againt ##F##) is I believe currently adjacent to finding the static pressure.

Also, the notation is too compact for me to get any sense of. I only have a single reference textbook to work with and they don't have much of anything about the Navier Stokes Equations, other than some derivations from the equations they expect an engineer to work with at low level, namely these forms.

erobz said:
$$ 0 = \frac{ d}{dt} \int_{cv} \rho d V\llap{-} + \int_{cs} \rho ( \boldsymbol {V}\cdot d \boldsymbol{A} ) \tag{Continuity}$$

$$ \sum \boldsymbol{F} = \frac{ d}{dt} \int_{cv} \rho \boldsymbol{v} d V\llap{-} + \int_{cs} \boldsymbol{v}\rho ( \boldsymbol {V}\cdot d \boldsymbol{A} ) \tag{Momentum}$$

$$ \dot Q - \dot W_s = \frac{d}{dt} \int_{cv} \rho \left( \frac{V^2}{2} + gz + u \right) d V\llap{-} + \int_{cs} \left( \frac{V^2}{2} + gz + u + \frac{p}{\rho} \right) \rho \boldsymbol {V}\cdot d \boldsymbol{A} \tag{Energy}$$


They are the only thing I have any type of familiarity (If I dare say) with, and/or can try to extrapolate from basic examples given in the text. So, I have to stay in my lane with these for a bit.

In the text these are said to be valid so long as ## \boldsymbol v ## is referenced from an inertial frame. ## \boldsymbol V ## is always in reference to the control surface. They would coincide if the control volume (including cart here as I've drawn) was not accelerating.
 
Last edited:
  • #210
Arjan82 said:
But what you also stated is that if you are in the frame of reference attached to the wing, energy is added to the flow. And that is NOT true.
With a longer wingspan, a greater mass of air per unit time is accelerated by a smaller amount, resulting in smaller velocity and energy changes. If there is zero energy change due to a wing, then why would a longer wing span be more efficient?
 
  • Like
Likes   Reactions: Lnewqban

Similar threads

Replies
2
Views
1K
  • · Replies 2 ·
Replies
2
Views
4K
  • · Replies 10 ·
Replies
10
Views
6K
  • · Replies 3 ·
Replies
3
Views
2K
  • · Replies 45 ·
2
Replies
45
Views
7K
  • · Replies 4 ·
Replies
4
Views
2K
  • · Replies 9 ·
Replies
9
Views
4K
  • · Replies 2 ·
Replies
2
Views
2K
  • · Replies 2 ·
Replies
2
Views
2K
  • · Replies 15 ·
Replies
15
Views
4K