Explicit non-holonomic equations of motion

Click For Summary

Discussion Overview

The discussion focuses on the existence of explicit equations of motion for non-holonomic systems, contrasting them with holonomic cases. Participants explore the treatment of non-holonomic constraints within the framework of Lagrangian mechanics, seeking a general form of the equations of motion rather than specific examples or established methods.

Discussion Character

  • Technical explanation
  • Debate/contested

Main Points Raised

  • One participant notes that while holonomic systems allow for straightforward application of the Lagrangian in deriving equations of motion, the same may not hold for non-holonomic systems.
  • Another participant suggests consulting Landau and Lifshitz for insights on non-holonomic constraints, emphasizing the need for proper introduction of Lagrange multipliers.
  • A participant expresses disappointment in the limited treatment of non-holonomic constraints in Landau's work, indicating a desire for a more comprehensive understanding beyond standard methods.
  • Some participants argue that the final form of the equations of motion for non-holonomic systems is inherently tied to the local nature of these constraints, which cannot be resolved merely by selecting independent coordinates.
  • There is a suggestion that while Lagrange equations are a necessary step, they must be solved in conjunction with non-holonomic constraint equations, raising the question of whether a general explicit formulation exists.

Areas of Agreement / Disagreement

Participants express differing views on the availability and clarity of general equations for non-holonomic systems. While some assert that the final forms exist, others question their comprehensiveness and accessibility in existing literature.

Contextual Notes

Participants highlight limitations in the treatment of non-holonomic constraints in standard texts, indicating a potential gap in the literature regarding explicit formulations. The discussion remains focused on theoretical aspects without resolving the existence of a universally accepted general form.

andresB
Messages
627
Reaction score
375
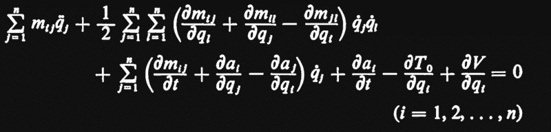
In the holonomic case, we can put the Lagrangian in the Lagrange equations to obtain the explicit form of the equations of motion. From Greenwood's classical dynamics book, the equations are
1661995443042.png


Are there such general equations for the non-holonomic case?
 
Physics news on Phys.org
Have a look in Landau Lifshitz vol. 1, who gets the non-holonomic constraints right. You have to introduce Lagrange multipliers in the right way!
 
  • Like
Likes   Reactions: topsquark
vanhees71 said:
Have a look in Landau Lifshitz vol. 1, who gets the non-holonomic constraints right. You have to introduce Lagrange multipliers in the right way!

Long time without reading Landau, and I have to say that its treatment of the non-holonomic constraint seems disappointingly scarce.

In any case, I'm not looking for the Euler-Lagrange+ lagrange multipliers equations, they are in every book. Instead I'm lookinf for the final general form of the equation of motion.
 
But these are the final general form of the equation of motion. Non-holonomic constraints are local constraints, and you cannot satisfy them by simply choosing a set of independent coordinates as for holonomic constraints.
 
vanhees71 said:
But these are the final general form of the equation of motion. Non-holonomic constraints are local constraints, and you cannot satisfy them by simply choosing a set of independent coordinates as for holonomic constraints.

But the Lagrange equations are just a step in the final solution of the problem. They have to be solved togheter with the non-holonomic constraint equations. I know how to do it in specific examples that can be found in the standard books, but I would be surprised if no general explicit formulat exist.
 

Similar threads

  • · Replies 25 ·
Replies
25
Views
3K
  • · Replies 2 ·
Replies
2
Views
2K
  • · Replies 2 ·
Replies
2
Views
1K
  • · Replies 7 ·
Replies
7
Views
2K
  • · Replies 3 ·
Replies
3
Views
2K
  • · Replies 4 ·
Replies
4
Views
3K
  • · Replies 1 ·
Replies
1
Views
2K
  • · Replies 2 ·
Replies
2
Views
2K
  • · Replies 2 ·
Replies
2
Views
2K
  • · Replies 5 ·
Replies
5
Views
1K