Find Det (C) knowing Det(A) and Det(B)

  • Thread starter Thread starter mmmboh
  • Start date Start date
Click For Summary

Homework Help Overview

The discussion revolves around finding the determinant of a matrix C, which is expressed as a combination of two other matrices A and B, given their determinants. Participants are exploring the properties of determinants in relation to linear combinations of matrices.

Discussion Character

  • Conceptual clarification, Mathematical reasoning, Assumption checking

Approaches and Questions Raised

  • Participants are discussing how the determinant behaves when matrices are added together and how linear combinations of rows affect the determinant. There are questions about the implications of linearity in the context of determinants.

Discussion Status

The discussion is active, with participants seeking clarification on the properties of determinants, particularly regarding linear combinations of rows. Some guidance has been offered about the multilinearity of the determinant function, but there remains some confusion about its application.

Contextual Notes

Participants are working with 3x3 matrices and are navigating the complexities of determinant properties without complete information on the specific forms of matrices A, B, and C.

mmmboh
Messages
401
Reaction score
0
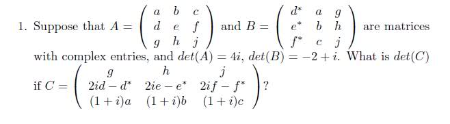
Hi, right now I have two 3x3 matrices with letter entries, I know the determinant of A and the determinant of B, and I am given a matrix C for which I have to find the determinant for. Right now I am expressing matrix C as a combination of A and B, but what happens to the determinant when I add matrices A and B together?

azgej6.jpg
 
Physics news on Phys.org
One of the rows of C is a linear combination of two vectors. det is linear in the row entries, right?
 
Well all the rows in C are a linear combination of vectors in A and B.
 
mmmboh said:
Well all the rows in C are a linear combination of vectors in A and B.

I'm referring to the second row being a sum of two vectors.
 
Ok, that's true, but how does that help me in finding the new determinant? I still have to know what happens when I add the matrices together, unless you mean something else?
 
I mean that if the letters A, B, C, and D are row vectors then det(A,B+D,C)=det(A,B,C)+det(A,D,C). det is linear in the row vectors.
 
Ah I didn't know you can do that :S...thanks!
 
But wait I don't understand how that works...why do the B and D add but nothing else...isn't this sort of like saying det(A+B)=det(A)+det(B) which isn't true?
 
mmmboh said:
But wait I don't understand how that works...why do the B and D add but nothing else...isn't this sort of like saying det(A+B)=det(A)+det(B) which isn't true?

No, it's not the same thing. I'm using that det is a multilinear function of it's rows (or columns). It's a fundamental property of the determinant. Try and find it in your book. It's important.
 

Similar threads

  • · Replies 11 ·
Replies
11
Views
2K
  • · Replies 2 ·
Replies
2
Views
8K
  • · Replies 5 ·
Replies
5
Views
5K
  • · Replies 25 ·
Replies
25
Views
4K
  • · Replies 5 ·
Replies
5
Views
3K
  • · Replies 17 ·
Replies
17
Views
2K
  • · Replies 9 ·
Replies
9
Views
3K
  • · Replies 6 ·
Replies
6
Views
3K
  • · Replies 2 ·
Replies
2
Views
5K
  • · Replies 1 ·
Replies
1
Views
2K