Find the area of the shaded region in the inscribed circle on square

Click For Summary

Homework Help Overview

The discussion revolves around finding the area of a shaded region within a circle inscribed in a square. Participants are analyzing various geometric properties and calculations related to sectors, triangles, and segments within the context of the problem.

Discussion Character

  • Mixed

Approaches and Questions Raised

  • Participants are exploring different methods to calculate areas of sectors and triangles, questioning the accuracy of angles and values used in calculations. Some are attempting integration as an alternative approach.

Discussion Status

The discussion is ongoing, with participants providing insights and corrections to each other's calculations. There is a mix of agreement on certain values, while others are still being debated. Some participants have offered guidance on checking angles and values, but no consensus has been reached on a final method or solution.

Contextual Notes

Participants are working with approximations and calculations based on geometric properties, and there are indications of confusion regarding terminology and the setup of the problem. The problem's complexity is acknowledged, with some participants expressing uncertainty about their approaches.

chwala
Gold Member
Messages
2,840
Reaction score
428
Homework Statement
See attached
Relevant Equations
area of circle
1648192623952.png


Find the solution here;
1648192680782.png


Find my approach below;

1648192712845.png


In my working i have;
##A_{minor sector}##=##\frac {128.1^0}{360^0}×π×5×5=27.947cm^2##
##A_{triangle}##=##\frac {1}{2}####×5×5×sin 128.1^0=9.8366cm^2##
##A_3##=##\frac {90^0}{360^0}####×π×10×10##=##78.53cm^2##
##A_{major sector}##=##78.539-27.947=50.592 cm^2##
##A_{minor segment}##=##27.947-9.8366=18.1104 cm^2##
therefore,

##50.592+9.833+5.365+ 2y+m *= 78.53cm^2##
##65.79+2y+m*=78.53cm^2##
##2y+m*=12.74 cm^2##

Also,
##R_{required region} + m*=18.1104cm^2##
##R_{required region} +2x=16.105cm^2##

Also,
##x+y=5.365cm^2##
 
Last edited:
Physics news on Phys.org
Nice challenge ! I wonder if there is an elegant short path to solution...

chwala said:
In my working
We have no way to follow your working (except heavy reverse engineering ?:) ) unless you tell us what is what.

If, with ##A_{\text{minor sector}}##, you mean the red segment EAC, then you have a wrong value for the angle. Where does it come from ?

If, with ##A_{\text{triangle}}##, you mean the red triangle EAC , idem.

##A_3## is a quarter circle. I don't see a reason to subtract ##A_{\text{minor sector}}## ? What is ##A_{\text{major sector}}## ?

1648211237109.png


##\ ##
 
BvU said:
Nice challenge ! I wonder if there is an elegant short path to solution...We have no way to follow your working (except heavy reverse engineering ?:) ) unless you tell us what is what.

If, with ##A_{\text{minor sector}}##, you mean the red segment EAC, then you have a wrong value for the angle. Where does it come from ?

If, with ##A_{\text{triangle}}##, you mean the red triangle EAC , idem.

##A_3## is a quarter circle. I don't see a reason to subtract ##A_{\text{minor sector}}## ? What is ##A_{\text{major sector}}## ?

View attachment 298914

##\ ##
Yes, the minor sector is the red segment EAC...
The Area of major sector and Area of the minor sector is equal to the area of the circle with radius ##5cm##. That is;
##A_{minor sector}##=##\frac {128.1^0}{360^0}×π×5×5=27.947cm^2##
+ ##A_{major sector}##=##78.539-27.947=50.592 cm^2##

Your CDA is indicated as ##m*## on my equations.
Your ACE is the area of my triangle, ##A_{triangle}##=##\frac {1}{2}####×5×5×sin 128.1^0=9.8366cm^2##Let me check the angle again.
Boss the angle is correct man..consider points which are approximately equal to ##A(0.3, 3.5)## and ##C(7,9.5)##( i.e From my scale drawing) The length ##AC##=##\sqrt{6.7^2+6^2}##=##\sqrt{80.89}##=##8.9938cm## Consider your ##OBED## as a perpendiculor bisector then we shall have an isosceles triangle with equal sides =##5cm##. Applying pythagoras thereom should realize
##sin θ## = ##\dfrac{4.4969}{5}##
##θ=sin^{-1} 0.89938 =64.0766^0##
The required angle is ##64.0766^0 × 2 =128.15^0##

On a side note i know where i am stuck, note that my problem arises from the first quadrant and the third quadrant of the square, where we need to show that ##x+y = 5.365cm## and i am trying to figure this out from my equations,...
 
Last edited:
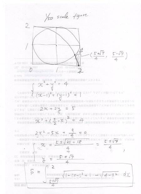
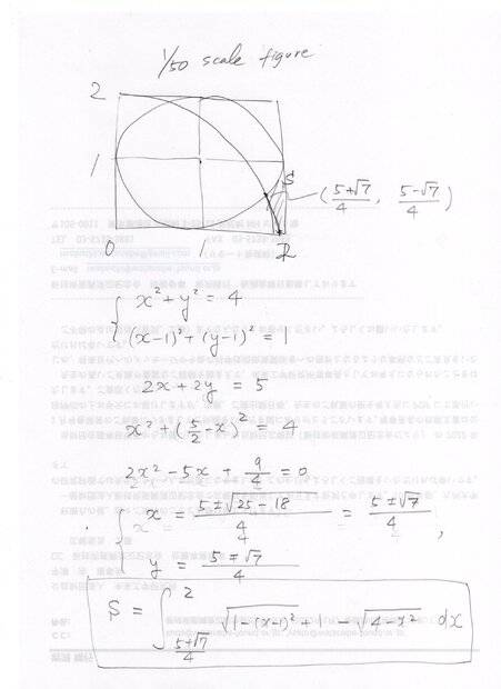
I try integration as attached.
img20220325_22552401.jpg


[EDIT]
Correction : scale 1/5
Directly
[tex]\frac{A}{L^2}=\frac{1}{4}\int_{\frac{5-\sqrt{7}}{4}}^{\frac{5+\sqrt{7}}{4}}\sqrt{(2-x)(2+x)}-\sqrt{x(2-x)}-1 \ dx[/tex]
where L is side length of square.
Or
[tex]\frac{4A}{L^2}=\frac{\phi}{2} +2 \sin\theta - \frac{1}{2}\sin \phi-2\theta[/tex]
where
[tex]\cos \phi = - \frac{3}{4}[/tex]
[tex]\cos \theta = \frac{9}{16}[/tex]
which come from inner products of radius vectors.
Approximately
[tex]\frac{4A}{L^2} \approx 0.5856[/tex]
For L=10
[tex]A \approx 14.64[/tex]
 
Last edited:
  • Like
Likes   Reactions: PhDeezNutz, PeroK and chwala
chwala said:
From my scale drawing
Not good enough. Even a full size drawing (like mine :wink:) isn't perfect -- but it's useful to verify the calculated 138.59 degrees

chwala said:
The Area of major sector and Area of the minor sector is equal to the area of the circle with radius 5cm.
What are you saying here ? I don't follow.

My cumbersome path to solution:
Solve for coordinates of C (and A) to get the angles.

Red segment EAC minus triangle EADC gets me the yellow area:

1648217683002.png


Segment OAC minus triangle OADC gives me the area to subtract:
1648217934723.png

and that leaves me exactly 14.638

Your turn.

:smile:

##\ ##
 
  • Like
Likes   Reactions: chwala
BvU said:
Not good enough. Even a full size drawing (like mine :wink:) isn't perfect -- but it's useful to verify the calculated 138.59 degreesWhat are you saying here ? I don't follow.

My cumbersome path to solution:
Solve for coordinates of C (and A) to get the angles.

Red segment EAC minus triangle EADC gets me the yellow area:

View attachment 298922

Segment OAC minus triangle OADC gives me the area to subtract:
View attachment 298923
and that leaves me exactly 14.638

Your turn.

:smile:

##\ ##
Segment OAC or Sector OAC? Unless i am getting you right ...your shaded region ie Segment ADC is clearly not the shaded region asked for in the problem.

Let me check again.
 
chwala said:
Segment OAC or Sector OAC? Unless i am getting you right ...your shaded region ie Segment ADC is clearly not the shaded region asked for in the problem.

Let me check again.
Sector, sorry. Not my first language.
What is a segment in your lingo ?

Read. Your exercise wants the first yellow area minus the second.
I saw no reason to repeat the picture in post #1.

Can you set up the equations to find angles CEA and COA ?

##\ ##
 
  • Like
Likes   Reactions: chwala
You are right on the angle...i had used approximated values instead of the actual values...and that was wrong! on my part! :nb)I will proceed as follows:
1648247689131.png


##AC##=##\sqrt{6.614^2+6.614^2}##=##\sqrt{87.489992}##=##9.353608502cm##
##sin θ## = ##\dfrac{4.676}{5}##
##θ=sin^{-1} [0.9352]=69.26048^0##
The required angle is ##69.26048^0 × 2 =138.52^0##...now allow me to proceed to solution of course using your hint! thanks...a minute please.
Considering the right angle triangle, ##ODC## then angle ##COD## will be given by,
##sin θ## = ##\dfrac{4.676}{10}##
##θ=sin^{-1} [0.46768]=27.883^0##
Therefore the area of sector ##OAC## will be given by
##A##=##\dfrac{55.76^0}{360^0}## ##×π ×10 × 10 ##=##48.666cm^2##

The area of triangle, ##OAC## will be given by,
##A##=##\dfrac{1}{2}## ##×10 × 10 × sin 55.76^0=41.3343cm^2##

Therefore the shaded yellow region will have an area of;
##48.666cm^2-41.3343cm^2=7.3317cm^2##

Also from my earlier calculations in post ##1##, we shall have

##A_{minor sector}##=##\dfrac {138.52^0}{360^0}####×π×5×5=30.2203cm^2##

##A_{triangle}##=##\dfrac {1}{2}####×5×5×sin 138.52^0=8.2794cm^2##

The area of the shaded region is will be given by;
##30.2203 -[7.3317+8.2794]cm^2##
##30.2203-15.6111=14.6092cm^2## Phew! Bingo! Thanks Bvu man!Nice weekend ahead :cool:
 
Last edited:
Detail, detail:
You can't report 138.52 if you only have 3 digits in 0.443 !
(the right value is 138.5904)

Note that the final result is the difference of two differences, so in order to get 3 digit accuracy, you cannot afford to be too sloppy...

(however, 7.057 results in 14.6367 instead of 14.6381, not really a disaster)

##\ ##
 
  • Like
Likes   Reactions: pbuk and chwala
  • #10
BvU said:
Detail, detail:
You can't report 138.52 if you only have 3 digits in 0.443 !
(the right value is 138.5904)

Note that the final result is the difference of two differences, so in order to get 3 digit accuracy, you cannot afford to be too sloppy...

(however, 7.057 results in 14.6367 instead of 14.6381, not really a disaster)

##\ ##
I used my calculator values, from the given points i.e
##AC##=##\sqrt{6.614^2+6.614^2}##=##\sqrt{87.489992}##=##9.353608502cm##
To find sine, i took ##\dfrac {9.353608502}{10}##=##0.93536085##
Now, ##θ##=##sin^{-1} [0.93536085]##=##69.28652117^0×2=138.5730423^0##

yes missed out by writing 6 instead of 8...cheers
 
Last edited:
  • Like
Likes   Reactions: BvU
  • #11
chwala said:
from the given points
You mean: calculated points, right ?

And 6.614 is four digits, so for AC you only have four digits, not 10. And the correct value is 9.354143

138.59038

:biggrin:

##\ ##
 
  • Haha
Likes   Reactions: chwala
  • #12
There could be another approach to this question...i do not know ...i will try it out...
 
  • #13
chwala said:
There could be another approach to this question...i do not know ...i will try it out...

As I said
BvU said:
Nice challenge ! I wonder if there is an elegant short path to solution...

The problem statement is deceivingly simple, but
so far I haven't found an elegant alternative to the brute force path. Paths if I include the integral.

##\ ##
 
  • #14
I will look at this over the weekend...i want to try work with the unknown values at the vertex of square, so far we have two points at vertex with area equal to ##5.365 cm^2##, the other two points can only be expressed like i had indicated as variables, say ##x## and ##y##...where

##x+y=5.365 cm^2##...

will try and see what comes out.
 
Last edited:
  • #15
Another integration method is to rotate the shape so that it has symmetry about the y-axis. The area is then bounded by the curves (where ##r = 5 \ cm## and taking the x-axis through the centre):$$y_1 = \sqrt{r^2 - x^2}$$$$y_2 = \sqrt{4r^2 - x^2} - r\sqrt 2$$Between the points$$x = \pm r\sqrt{\frac 7 8}$$Using the substitution ##x = r\sin \theta##, the first integral evaluates to:$$A_1 = r^2 \big [\sin^{-1} \sqrt{\frac 7 8} + \frac{\sqrt 7}{8} \big ]$$Using the substitution ##x = 2r\sin \phi##, the second integral evaluates to:$$A_2 = r^2 \big [4\sin^{-1} \sqrt{\frac 7 {32}}+ \frac{5\sqrt 7}{8} \big ]$$And the third factor is simply:$$A_3 = r^2 \sqrt 7$$The total area is:
$$A = A_1 - A_2 + A_3 = r^2 \big [\sin^{-1} \sqrt{\frac 7 8} - 4\sin^{-1} \sqrt{\frac 7 {32}} + \frac{\sqrt 7}{2} \big ]$$Which gives $$A = 14.64 \ cm^2$$
 
Last edited:
  • Like
  • Informative
  • Love
Likes   Reactions: neilparker62, Charles Link, PhDeezNutz and 3 others
  • #16
Another option is to use the formula for the area of a circular segment, which is:
$$A = R^2(\theta - \frac 1 2 \sin(2\theta)) = R^2(\theta - \sin\theta \cos \theta)$$Where ##\theta## is half the angle that subtends the chord. See here, for example:

https://en.wikipedia.org/wiki/Circular_segment#Arc_length_and_area

For the circle of radius ##r## we have ##\sin \theta = \sqrt{\frac 7 8}##, and for the larger circle we have ##\sin \phi = \sqrt{\frac 7 {32}}## etc.

In this case, we have ##A = A_1 - A_2##, where:
$$A_1 = r^2 \big [ \sin^{-1} \sqrt{\frac 7 8} - \frac{\sqrt 7}{8} \big ]$$$$A_2 = 4r^2 \big [ \sin^{-1} \sqrt{\frac 7 {32}} - \frac{5\sqrt 7}{32} \big ]$$Which gives the same answer as above.
 
  • Like
  • Love
Likes   Reactions: jim mcnamara, Charles Link, PhDeezNutz and 1 other person
  • #17
We can also use another approach,

1648639955454.png


From Pythagoras theorem, ##OE##=##5####\sqrt 2cm##

Angle AEO is given by;
##10^2##=##5^2##+(##5####\sqrt 2)^2####-(2×5×5####\sqrt 2 ×cos α)##
##α = 1.932163##

Note; angle AEO = angle OEC

Also, angle AOB is given by;

##\dfrac{sin 1.93216}{10}##=##\dfrac{sin β}{5}##
##β = 0.48669##

Area of big sector = ##\dfrac{1}{2}####×5^2× [2π-(2×1.932163)]+2##×##\dfrac{1}{2}##×##10× 5####\sqrt 2×[2×0.48669]##=##63.30732cm^2##
Area of shaded region will be given by;
##63.30732-####\dfrac{1}{2}×10^2×[2×0.48669]=14.63832cm^2##

Note;
In this approach we do not need to use the co ordinates of ##C## or ##A## to get the angles...
 
Last edited:
  • Like
Likes   Reactions: anuttarasammyak
  • #18
I've got what might be a somewhat simpler approach, but I need to evaluate the integral

## I=\int \sqrt{1+\cos^2{\theta}} \, d \theta ## from ## 0 ## to ## \theta_o= \cos^{-1}( \frac{1}{2 \sqrt{2}}) ##.

I've tried a couple of the routine substitutions with this integral with no success.

Edit note: I realized I'm needing to compute ##area=(1/2) \int r^2 \, d \theta ##, and not the integral ## \int r \, d \theta ##.

[Edit: I previously was computing ## \int r \, d \theta ##=scratch some of this post=I made a mistake=sorry=the integral that needs to be evaluated is ## area=(1/2) \int r^2 \, d \theta ##. (it needs to be with ## r^2 ## and not ##r ##). Upon further study of the new integral expression, I think this one will have a simple closed form solution.]

The distance ## r ## is measured from the origin (of the small circle) to the points of the arc of the circle of larger radius. The angle ## \theta ## is referenced from the symmetry line ## y=x ##.
I used ## x^2+y^2=1 ## and ## (x+1)^2+(y+1)^2=2^2 ##. Introducing ## x=r \cos{\theta} ## and ## y=r \sin{\theta} ## in the second expression, the result is ## r^2+2 \sqrt{2} r \cos(\theta-\pi/4)-2=0 ##. The quadratic expression is solved for ## r ##, giving the ## r ## for the integral. The ## \sqrt{2} r \cos(\theta-\pi/4) ## term resulted from using a trigonometric identity with the ## \cos{\theta} ## and ## \sin{\theta} ## terms. Let ## \theta'=\theta-\pi/4 ##, and then do the integral with ## \theta' ##.
Solution of the above quadratic gives ## r=\sqrt{2} (\sqrt{1+\cos^2{\theta'}}-\cos{\theta'}) ##.
(The law of cosines can also be used to get this same expression for the ## r ## from the origin of the smaller circle to the arc of the larger radius).
The integral could also be performed numerically if a closed form solution proves to be difficult.

Final edit: I evaluated the corrected integrals, (using ## area=(1/2) \int r^2 \, d \theta ##), which I was able to do in closed form, and I got a final answer of 14.6381,(which included a calculation of the area of the section of the circle centered at the origin, and then minus this inner section), in agreement with the above posts, once I put in the scale factor of 25 cm^2.

Thank you @chwala for posting a very good problem. :)
 
Last edited:
  • Like
Likes   Reactions: PhDeezNutz and chwala
  • #19
Charles Link said:
I've got what might be a somewhat simpler approach, but I need to evaluate the integral

## I=\int \sqrt{1+\cos^2{\theta}} \, d \theta ## from ## 0 ## to ## \theta_o= \cos^{-1}( \frac{1}{2 \sqrt{2}}) ##.

I've tried a couple of the routine substitutions with this integral with no success.

Edit note: I realized I'm needing to compute ##area=(1/2) \int r^2 \, d \theta ##, and not the integral ## \int r \, d \theta ##.

[Edit: I previously was computing ## \int r \, d \theta ##=scratch some of this post=I made a mistake=sorry=the integral that needs to be evaluated is ## area=(1/2) \int r^2 \, d \theta ##. (it needs to be with ## r^2 ## and not ##r ##). Upon further study of the new integral expression, I think this one will have a simple closed form solution.]

The distance ## r ## is measured from the origin (of the small circle) to the points of the arc of the circle of larger radius. The angle ## \theta ## is referenced from the symmetry line ## y=x ##.
I used ## x^2+y^2=1 ## and ## (x+1)^2+(y+1)^2=2^2 ##. Introducing ## x=r \cos{\theta} ## and ## y=r \sin{\theta} ## in the second expression, the result is ## r^2+2 \sqrt{2} r \cos(\theta-\pi/4)-2=0 ##. The quadratic expression is solved for ## r ##, giving the ## r ## for the integral. The ## \sqrt{2} r \cos(\theta-\pi/4) ## term resulted from using a trigonometric identity with the ## \cos{\theta} ## and ## \sin{\theta} ## terms. Let ## \theta'=\theta-\pi/4 ##, and then do the integral with ## \theta' ##.
Solution of the above quadratic gives ## r=\sqrt{2} (\sqrt{1+\cos^2{\theta'}}-\cos{\theta'}) ##.
(The law of cosines can also be used to get this same expression for the ## r ## from the origin of the smaller circle to the arc of the larger radius).
The integral could also be performed numerically if a closed form solution proves to be difficult.

Final edit: I evaluated the corrected integrals, (using ## area=(1/2) \int r^2 \, d \theta ##), which I was able to do in closed form, and I got a final answer of 14.6381,(which included a calculation of the area of the section of the circle centered at the origin, and then minus this inner section), in agreement with the above posts, once I put in the scale factor of 25 cm^2.

Thank you @chwala for posting a very good problem. :)
Welcome Charles...learning/following your approach...
 
  • Like
Likes   Reactions: Charles Link
  • #20
chwala said:
Angle AEO is given by;
102=52+(52)2−(2×5×52×cosα)
α=1.932163

Note; angle AEO = angle OEC

Also, angle AOB is given by;

sin1.9321610=sinβ5
β=0.48669
I would suggest writing them as
[tex]\cos\alpha=\frac{\sqrt{2}}{4}, \sin\beta=\frac{\sin\alpha}{2}=\frac{\sqrt{14}}{8}[/tex]
and so
[tex]\alpha=\arccos \frac{\sqrt{2}}{4}, \beta = \arcsin \frac{\sqrt{14}}{8}[/tex]
for us to use decimal numbers only at the last step to get an approximate value from the exact solution.
 
Last edited:
  • Like
Likes   Reactions: chwala
  • #21
anuttarasammyak said:
I would suggest writing them as
[tex]\cos\alpha=\frac{\sqrt{2}}{4}, \sin\beta=\frac{\sin\alpha}{2}=\frac{\sqrt{14}}{8}[/tex]
and so
[tex]\alpha=\arccos \frac{\sqrt{2}}{4}, \beta = \arcsin \frac{\sqrt{14}}{8}[/tex]
for us to use decimal numbers only at the last step to get an approximate value from the exact solution.
Yes, looks aesthetically pleasing...:cool:
 
  • #22
It is for to be exact than be aesthetic, though truth and beauty often come together.
 
  • Haha
Likes   Reactions: chwala
  • #23
  • Like
Likes   Reactions: Charles Link and chwala
  • #25
One comment is I think post 4 by @anuttarasammyak is incomplete as posted, (he does have the correct answer), but the limits on his integral for 4A /L^2 do not cover the entire area of interest. There needs to be a second integral that goes out to ## x=2 ## that is added to this to get the entire area.
 
  • Like
Likes   Reactions: anuttarasammyak and chwala
  • #26
IMO, the simplest approach is in post #16. It's easy to prove the formula for a circular segment. Then you just have to calculate the intersection points and the subtending angles. There's no calculus needed.
 
  • Like
Likes   Reactions: Charles Link and chwala
  • #27
anuttarasammyak said:
Correction : scale 1/5
Directly
AL2=14∫5−745+74(2−x)(2+x)−x(2−x)−1 dx
where L is side length of square.

Charles Link said:
One comment is I think post 4 by @anuttarasammyak is incomplete as posted, (he does have the correct answer), but the limits on his integral for 4A /L^2 do not cover the entire area of interest. There needs to be a second integral that goes out to x=2 that is added to this to get the entire area.
Thanks @Charles Link. Going back to my handwriting I would correct the integration as
[tex]\frac{4A}{L^2}=3-\frac{3\pi}{4}-2\int_{\frac{5+\sqrt{7}}{4}}^2 1-\sqrt{2-x}[\sqrt{2+x}-\sqrt{x}] \ \ dx[/tex]
 
  • Like
Likes   Reactions: Charles Link
  • #28
@anuttarasammyak The term you need is on the typed portion of post 4 at the bottom, and it is
## 2 \int\limits_{\frac{5+\sqrt{7}}{4}}^{2} \sqrt{x(2-x)} \, dx ##.
 
  • Like
Likes   Reactions: anuttarasammyak
  • #29
@chwala Could enjoy your feedback on post 18. Did you try integrating ## area=(1/2) \int r^2 \, d \theta ## ?
and also did you concur with the calculation for ## r ## for the distance to the arc with the larger radius as a function of ## \theta ## ?
 
  • Haha
Likes   Reactions: chwala
  • #30
Charles Link said:
@chwala Could enjoy your feedback on post 18. Did you try integrating ## area=(1/2) \int r^2 \, d \theta ## ?
and also did you concur with the calculation for ## r ## for the distance to the arc with the larger radius as a function of ## \theta ## ?
I want to check all the alternative solutions given in the posts above in detail...this is in a few days time...i really appreciate the spirit in physicsforums! Bingo! I will confirm any area of doubts as i do the analysis...thanks @Charles Link
 
  • Like
Likes   Reactions: Charles Link

Similar threads

Replies
7
Views
4K
  • · Replies 6 ·
Replies
6
Views
2K
  • · Replies 6 ·
Replies
6
Views
3K
  • · Replies 2 ·
Replies
2
Views
2K
  • · Replies 3 ·
Replies
3
Views
3K
Replies
2
Views
2K
  • · Replies 2 ·
Replies
2
Views
3K
  • · Replies 1 ·
Replies
1
Views
2K
  • · Replies 2 ·
Replies
2
Views
2K
  • · Replies 3 ·
Replies
3
Views
4K