Finding the acceleration of two masses on a pulley system

Click For Summary

Homework Help Overview

The problem involves two blocks connected by a massless pulley and string, with one block on a surface and the other suspended. The system is in equilibrium but is about to slide due to an increase in the mass of the suspended block. The surface is accelerating horizontally, and the problem asks for the acceleration of the block on the surface.

Discussion Character

  • Mixed

Approaches and Questions Raised

  • Participants discuss the implications of the given horizontal acceleration and how it relates to the accelerations of the two masses. There are questions about the role of friction and the relationship between the accelerations of the masses and the surface.

Discussion Status

Participants are exploring the relationships between the forces acting on the masses and the surface. Some have offered insights into the implications of the string's constant length and the nature of the forces involved, while others are questioning the assumptions about friction and acceleration.

Contextual Notes

There is uncertainty regarding the coefficient of friction and its impact on the system, as well as the specific arrangement of the masses in relation to the pulley. Participants are also considering the effects of the surface's acceleration on the hanging mass.

Jpyhsics
Messages
84
Reaction score
2

Homework Statement


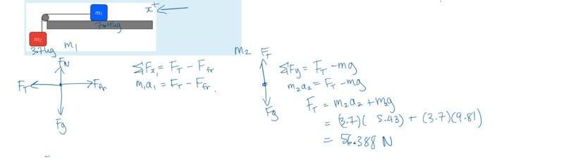
Two blocks of the masses m1=7.40 kg and m2=m1/2 are connected via a massless pulley and massless string. The system is currently in equilibrium but is about to start sliding, if m2 would increase even by a bit. For the friction between the surface and m1 assume that µs=µk. The block m2 is suspended from the pulley and is free to swing. What will be the acceleration of m1 if the surface starts to move in a horizontal direction to the right with an acceleration a=5.43 m/s2? Take +x direction to be toward the left. Give your answer in m/s2.

Homework Equations


F=ma

The Attempt at a Solution


For m1
ΣFx=FT
m1a1=FT

For m2
ΣFy=FT-mg
m2a2=FT-mg

I am not sure how to use the given acceleration in the problem. Also, does µs=µk mean there is no friction?If anyone could help me with this, I would be grateful.
 
Physics news on Phys.org
Jpyhsics said:
how to use the given acceleration in the problem.
The string has constant length. What does that tell you about the three accelerations? Be careful with signs.
Jpyhsics said:
does µs=µk mean there is no friction?I
No, it means what it says, that the two coefficients are equal. Remember you are given information about the conditions before the surface accelerates.

Which way around is the diagram, is the suspended mass on the left or the right?
 
haruspex said:
The string has constant length. What does that tell you about the three accelerations? Be careful with signs.

No, it means what it says, that the two coefficients are equal. Remember you are given information about the conditions before the surface accelerates.

Which way around is the diagram, is the suspended mass on the left or the right?
This is what I have so far. Since the accelerations are the same then why do we have to calculate to find the acceleration of mass 1? Do we have to account for friction? How would I proceed based on what I have written down?
 

Attachments

  • IMG_329BF4418254-1.jpeg
    IMG_329BF4418254-1.jpeg
    10.6 KB · Views: 596
Jpyhsics said:
Since the accelerations are the same
Which accelerations are the same? There are the three horizontal accelerations of the surface and the two masses, and the vertical acceleration of the suspended mass.
 
So are the net accelerations of the 2 masses the same? and does friction matter in this case?
 
Jpyhsics said:
are the net accelerations of the 2 masses the same?
No.
Start with the horizontal acceleration of the hanging mass. Can you say what that is? Consider the forces on it.
Next, consider that the string length is constant. What does that tell you about the relationship between the other three accelerations?
 
haruspex said:
No.
Start with the horizontal acceleration of the hanging mass. Can you say what that is? Consider the forces on it.
Next, consider that the string length is constant. What does that tell you about the relationship between the other three accelerations?
So is the horizontal acceleration of the hanging mass -5.43? Is that the only place where the 5.43 applies?
 
Jpyhsics said:
is the horizontal acceleration of the hanging mass -5.43?
Why would it be that? What forces act on it?
 
haruspex said:
Why would it be that? What forces act on it?
Well the force of the surface moving, force of tension upwards, and force due to gravity downwards? Am I missing something?
 
  • #10
Jpyhsics said:
the force of the surface moving
How does the hanging mass know the surface is accelerating?
 
  • #11
haruspex said:
How does the hanging mass know the surface is accelerating?
It moves rightwards as the surface moves rightwards?
 
  • #12
Jpyhsics said:
It moves rightwards as the surface moves rightwards?
If it "knew" that the surface was moving rightward, it might move rightward. How would it "know"?
 
  • #13
jbriggs444 said:
If it "knew" that the surface was moving rightward, it might move rightward. How would it "know"?
So does that mean there is no horizontal acceleration for the hanging mass?
 
  • #14
Jpyhsics said:
So does that mean there is no horizontal acceleration for the hanging mass?
If you draw a free body diagram, what forces on the hanging mass have non-zero horizontal components?
 
  • #15
jbriggs444 said:
If you draw a free body diagram, what forces on the hanging mass have non-zero horizontal components?
Gravity and tension force. So what does this tell me in terms of the question?
 
  • #16
Jpyhsics said:
Gravity and tension force. So what does this tell me in terms of the question?
So is there only 2 forces for m2?
 
  • #17
Jpyhsics said:
Gravity and tension force. So what does this tell me in terms of the question?
Does gravity have a non-zero component in the horizontal direction?
Jpyhsics said:
So is there only 2 forces for m2?
What other forces do you think there are?
 
  • #18
I believe there is only tension and gravity, would that be right?
 
  • #19
Jpyhsics said:
I believe there is only tension and gravity, would that be right?
Yes.
 
  • #20
haruspex said:
Yes.
Can I assume the net acceleration for m2 is the one given in the question?
 
  • #21
Jpyhsics said:
Can I assume the net acceleration for m2 is the one given in the question?
Certainly not. That is the horizontal acceleration of the surface. What have you concluded from the above about the horizontal acceleration of the suspended mass?
 
  • #22
I have this exact same question, so I think that I understand that (tension force) x cos(theta) = m2 x a2(x) and (tension force) x sin(theta) = m2 a2(y) but we aren't given the angle. How would I go about solving that?
 
  • #23
FriedChicken885 said:
we aren't given the angle.
You are only asked about the immediate accelerations. There has been no time for the angle to change.
 
  • #24
haruspex said:
You are only asked about the immediate accelerations. There has been no time for the angle to change.
So that would mean the horizontal acceleration of m2 is 0, right?
 
  • #25
haruspex said:
You are only asked about the immediate accelerations. There has been no time for the angle to change.
So what is the acceleration given in the question used for?
 
  • #26
FriedChicken885 said:
So that would mean the horizontal acceleration of m2 is 0, right?
Yes.
 
  • #27
Jpyhsics said:
So what is the acceleration given in the question used for?
If you answer the question I posed at the start of post #2 and again at the end of post #6 you will find out.
 
  • #28
haruspex said:
If you answer the question I posed at the start of post #2 and again at the end of post #6 you will find out.
So since the string has a constant length, the magnitude of a(m2)=a(m1), right?

Also I’m a little uncertain of what’s actually happening in the system, is it correct to assume the surface accelerating because of the tension force being experienced by the pulley?
 
  • #29
FriedChicken885 said:
magnitude of a(m2)=a(m1),
Remember that the surface, including the pulley, is accelerating.
FriedChicken885 said:
is it correct to assume the surface accelerating because of the tension force being experienced by the pulley?
As I read it, the acceleration of the surface is imposed by some external force.
 
  • #30
haruspex said:
Remember that the surface, including the pulley, is accelerating.

As I read it, the acceleration of the surface is imposed by some external force.
So what do we do about friction?
 

Similar threads

  • · Replies 3 ·
Replies
3
Views
2K
  • · Replies 5 ·
Replies
5
Views
2K
  • · Replies 102 ·
4
Replies
102
Views
9K
  • · Replies 17 ·
Replies
17
Views
3K
  • · Replies 5 ·
Replies
5
Views
1K
Replies
23
Views
3K
Replies
25
Views
4K
  • · Replies 15 ·
Replies
15
Views
7K
  • · Replies 2 ·
Replies
2
Views
2K
  • · Replies 8 ·
Replies
8
Views
12K