Finding x and y Components of Vector Sum

Click For Summary
SUMMARY

The discussion focuses on the process of finding the x and y components of a vector sum, specifically addressing the correct angle for vector B. Participants confirm the accuracy of the method used for calculations, emphasizing the importance of verifying angles in vector analysis. The conversation highlights the significance of ensuring proper vector decomposition to achieve accurate results in physics problems.

PREREQUISITES
  • Understanding of vector decomposition
  • Familiarity with trigonometric functions (sine and cosine)
  • Basic knowledge of physics principles related to vectors
  • Ability to perform calculations involving angles and magnitudes
NEXT STEPS
  • Study vector addition and subtraction techniques
  • Learn how to apply trigonometric functions in vector analysis
  • Explore graphical methods for vector representation
  • Investigate common mistakes in vector calculations and how to avoid them
USEFUL FOR

Students in physics or engineering courses, educators teaching vector analysis, and anyone looking to improve their skills in vector calculations and physics problem-solving.

McAfee
Messages
96
Reaction score
1

Homework Statement



03t65.png


Wo9KJ.gif



The Attempt at a Solution


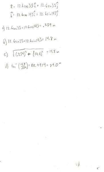
I wanted to make sure I use the right angle for vector B.
I4j0u.jpg

Also just wanted to check my work.
 
Physics news on Phys.org
I didn't check your actual calculations, but your method looks fine.
 
It is all correct.

ehild.
 

Similar threads

  • · Replies 8 ·
Replies
8
Views
1K
Replies
8
Views
1K
  • · Replies 26 ·
Replies
26
Views
5K
  • · Replies 15 ·
Replies
15
Views
2K
Replies
3
Views
2K
Replies
11
Views
2K
Replies
13
Views
2K
  • · Replies 1 ·
Replies
1
Views
2K
  • · Replies 9 ·
Replies
9
Views
2K
  • · Replies 2 ·
Replies
2
Views
3K