Formula for Magnetic Field of Cylindrical Magnet | R,L Values

  • Context: Undergrad 
  • Thread starter Thread starter umby
  • Start date Start date
  • Tags Tags
    Cylindrical Magnet
Click For Summary

Discussion Overview

The discussion revolves around the formula for the magnetic field along the axis of an axially magnetized cylindrical magnet. Participants explore various equations, their derivations, and implications, including numerical and analytical solutions, as well as the relationship between different parameters such as magnetization and dimensions.

Discussion Character

  • Technical explanation
  • Debate/contested
  • Mathematical reasoning

Main Points Raised

  • One participant seeks the correct formula for the magnetic field along the axis of a cylindrical magnet, noting discrepancies in available resources.
  • Another participant suggests a more complete equation from MIT that includes the field inside the magnet but notes it may require numerical integration.
  • There is a discussion about whether the MIT equation has an analytical solution, with some participants asserting it does and others expressing confusion over the notation used.
  • Participants debate the dimensionality of terms in the equations, particularly the role of the magnetization and its units.
  • Questions arise about the appropriate use of magnetic field quantities (B or H) when calculating forces on particles in the field.
  • Some participants discuss the challenges of finding a complete expression for the magnetic field beyond the axis of the magnet, mentioning the involvement of elliptic integrals.
  • There are references to numerical calculations and the need for careful integration to avoid losing critical information about the field's behavior near the magnet's surface.
  • Participants note the discontinuity of the magnetic field at the surface of the magnet and the implications for comparing different expressions derived from various approaches.

Areas of Agreement / Disagreement

Participants express differing views on the correctness and applicability of various equations, with no consensus reached on a single definitive formula for the magnetic field. Disagreements persist regarding the interpretation of terms and the implications of different mathematical approaches.

Contextual Notes

There are unresolved issues regarding the assumptions made in the derivations, particularly concerning the limits of integration and the treatment of parameters like the radius and length of the magnet. The discussion highlights the complexity of the topic and the need for careful consideration of definitions and dimensional analysis.

umby
Messages
50
Reaction score
8
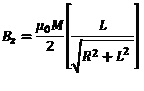
Hi, I am looking for the formula of the magneti field along the axis of a axially magnetized cylindrical magnet.
Unfortunately, there are quite different answers on Internet.
Is the uploaded formula (where R is the magnet radius and L its length) correct?
upload_2018-5-25_12-26-25.png
 

Attachments

  • upload_2018-5-25_12-26-25.png
    upload_2018-5-25_12-26-25.png
    3.5 KB · Views: 1,254
Physics news on Phys.org
It looks right. If I were you, I would go along the more complete equation (8) given here
http://web.mit.edu/6.013_book/www/chapter9/9.3.html
because it provides the field inside the magnet as well. Note that this equation has the mid point of the magnet as the origin, unlike yours where the origin is at one of the faces.
 
Thank you very much. However, eq. (8) does not have an anlytical solution, does it? You need to use numerical integration to solve it.
 
It is an analytical solution. Perhaps you confused the ##d~M_0## up front for a differential. It is not; ##d## is the length of the cylinder as shown in the drawing and ##M_0## is the magnitude of the magnetization.
 
Ohh, I did!
Thank you so much.
Is a 1/2 the value subtracted to z/d?
 
Actually I see that the two formulae are different. Indeed, replacing d with L and changing the origing z = z1-d/2 in eq.(8), you get:
upload_2018-5-28_11-11-42.png
 

Attachments

  • upload_2018-5-28_11-11-42.png
    upload_2018-5-28_11-11-42.png
    534 bytes · Views: 1,377
umby said:
Actually I see that the two formulae are different. Indeed, replacing d with L and changing the origing z = z1-d/2 in eq.(8), you get:
View attachment 226284
Right.
 
So μ0 is replaced by d in your formula.
eqn-9.14.gif

IS M0 measured in A/m?
 

Attachments

  • eqn-9.14.gif
    eqn-9.14.gif
    1.3 KB · Views: 719
umby said:
So μ0 is replaced by d in your formula.
No. If you follow the proof in the MIT link, you will see that μ0 drops out in equation (6). The symbol ##d## is the half-length of the cylinder. In other words ##2d=L##.
umby said:
IS M0 measured in A/m?
Yes.
 
  • #10
I have a doubt: going back to eq. (8), the term in the square brackets is adimensional, M0 is [A/m] times d[m], you get a Hz in [A].
 
  • #11
umby said:
I have a doubt: going back to eq. (8), the term in the square brackets is adimensional, M0 is [A/m] times d[m], you get a Hz in [A].
You are correct. I re-derived the whole thing and equation (8) should have ##\frac{M_0}{2}## as the overall factor without the ##d##. The ##d## in the numerator cancels out when one makes the denominator dimensionless. Whoever posted this probably missed the cancellation, but this goes to show that you should distrust what you see on the web, even if it's from MIT.
 
  • #12
Thank you very much. Not distrust, but re-think critically.
Finally I have the field thanks to your help.
Last question: I can swop from B to H with μ0, but if I need the force on a particle in the field of the magnet, I have to use B or H?
 
  • #13
umby said:
Thank you very much. Not distrust, but re-think critically.
Finally I have the field thanks to your help.
Last question: I can swop from B to H with μ0, but if I need the force on a particle in the field of the magnet, I have to use B or H?
I would say use B. What equation do you plan to use to find the force?
 
  • #14
The classical derivation from the analogy with the force on an electric dipole: (m*Del) B.

Kuruman, please, do you know a complete expression for the field of a cylindrical magnet, not only along the axis of the magnet?
 
  • #15
umby said:
The classical derivation from the analogy with the force on an electric dipole: (m*Del) B.

Kuruman, please, do you know a complete expression for the field of a cylindrical magnet, not only along the axis of the magnet?
An analytical expression for that involves elliptic integrals so I don't think there is one. If the force is to be calculated very near the z-axis you may do a series expansion of the radial field component. If not, then a numerical calculation may be appropriate.
 
  • #16
And and expression to calculate numerically it? Do you know a link in the web?
 
  • #17
Sorry, I don't know of any links. I am sure you can research the web as well as me, if not better.
 
  • #18
Applying the two formulae, which we have discussed so far, it is easy to calculate the z-component of field at the top of the magnet along its axis:
upload_2018-5-29_13-5-43.png

Now, I found a page of Mathematica by Wolfram, which reports an expression, to be computed numerically, for the whole field:
http://demonstrations.wolfram.com/MagneticFieldOfACylindricalBarMagnet
However, this expression does not converge to the above one for ρ -> 0 and z ->L/2.
Do you have the same result?
 

Attachments

  • upload_2018-5-29_13-5-43.png
    upload_2018-5-29_13-5-43.png
    402 bytes · Views: 1,282
  • #19
umby said:
Applying the two formulae, which we have discussed so far, it is easy to calculate the z-component of field at the top of the magnet along its axis:
View attachment 226332
Now, I found a page of Mathematica by Wolfram, which reports an expression, to be computed numerically, for the whole field:
http://demonstrations.wolfram.com/MagneticFieldOfACylindricalBarMagnet
However, this expression does not converge to the above one for ρ -> 0 and z ->L/2.
Do you have the same result?
To me the Wolfram expression looks like the same as the integral leading to the corrected MIT expression. I don't understand what you mean by ρ→0. ρ is an integration variable. If you want to see what happens when you have a long thin cylindrical magnet, first you integrate then you look what happens in the limit R/L <<1.
 
  • #20
The integration variables are R and Φ. R integrated over [0, a] and Φ over [0, 2 Pi].
After the integration, you have the field in generic ρ and z, namely Bz(ρ,z).
I want the field in (ρ = 0, z =L/2), i.e. Bz(0,L/2).
 
  • #21
umby said:
The integration variables are R and Φ. R integrated over [0, a] and Φ over [0, 2 Pi].
After the integration, you have the field in generic ρ and z, namely Bz(ρ,z).
I want the field in (ρ = 0, z =L/2), i.e. Bz(0,L/2).
Yes you are correct. I was thinking of the other two expressions where R is the radius of the cylinder. I have not done it, but it looks like if you set φ=0 and do the φ integral (i.e. stick in a 2π) in the Wolfram expression, you should get equation (6) in the MIT link. Have you tried that?
 
  • #22
This is the problem, you do not get the MIT expression for Bz(0,L/2, "or the surface of the magnet") but:
upload_2018-5-29_15-35-59.png

While the MIT expression is:
upload_2018-5-29_15-35-17.png
 

Attachments

  • upload_2018-5-29_15-35-17.png
    upload_2018-5-29_15-35-17.png
    402 bytes · Views: 683
  • upload_2018-5-29_15-35-59.png
    upload_2018-5-29_15-35-59.png
    421 bytes · Views: 731
  • #23
Hz is discontinuous at the surface. Look at the plot in the MIT link below equation (5).
 
  • #24
kuruman said:
Hz is discontinuous at the surface. Look at the plot in the MIT link below equation (5).
I mean the field on the magent Surface coming from the outside of the magnet
 
  • #25
There is an expression for Hz below the surface (u = 2 in equation 8) and another expression above the surface (u = 0 in equation 8). The expression is double-valued on the surface because Hz is discontinuous across the surface. If you want to compare expressions, you must be on the same side of the surface.
 
  • #26
kuruman said:
There is an expression for Hz below the surface (u = 2 in equation 8) and another expression above the surface (u = 0 in equation 8). The expression is double-valued on the surface because Hz is discontinuous across the surface. If you want to compare expressions, you must be on the same side of the surface.

Yes, on the same side of the Surface, u=0. In this way I did the calculation: I took the expression provided for Bz in Wolfram

upload_2018-5-29_16-37-29.png

and I set ρ = 0, z =L/2. I did the integration, to get the result:
upload_2018-5-29_16-39-25.png


Then I took the MIT corrected (with u = 0) or my expression and I get:
upload_2018-5-29_16-40-14.png
 

Attachments

  • upload_2018-5-29_16-37-29.png
    upload_2018-5-29_16-37-29.png
    10.2 KB · Views: 449
  • upload_2018-5-29_16-39-25.png
    upload_2018-5-29_16-39-25.png
    421 bytes · Views: 442
  • upload_2018-5-29_16-40-14.png
    upload_2018-5-29_16-40-14.png
    402 bytes · Views: 423
  • #27
By setting z = L/2 before you do the integral, you lose the "inside - outside" information. Do the integral first, then set z = L/2 and you will see what I mean. At the lower limit the first integral will have a term ##\sqrt{(z-L/2)^2}##. This is ##z-L/2## when ##z>L/2## and ##L/2-z## when ##z<L/2##. If you prematurely set ##z=L/2##, you end up with zero in either case and you lose the discontinuity.
 
  • Like
Likes   Reactions: sysprog
  • #28
kuruman said:
By setting z = L/2 before you do the integral, you lose the "inside - outside" information. Do the integral first, then set z = L/2 and you will see what I mean. At the lower limit the first integral will have a term ##\sqrt{(z-L/2)^2}##. This is ##z-L/2## when ##z>L/2## and ##L/2-z## when ##z<L/2##. If you prematurely set ##z=L/2##, you end up with zero in either case and you lose the discontinuity.
Right!
 
  • Like
Likes   Reactions: sysprog
  • #29
^^^^^ a very nice, cogent, entertaining discussion ^^^^^ thanks
 
  • #30
kuruman said:
By setting z = L/2 before you do the integral, you lose the "inside - outside" information. Do the integral first, then set z = L/2 and you will see what I mean. At the lower limit the first integral will have a term ##\sqrt{(z-L/2)^2}##. This is ##z-L/2## when ##z>L/2## and ##L/2-z## when ##z<L/2##. If you prematurely set ##z=L/2##, you end up with zero in either case and you lose the discontinuity.

I have just checked, it gives exactly the corrected MIT expression!
 

Similar threads

  • · Replies 7 ·
Replies
7
Views
4K
  • · Replies 8 ·
Replies
8
Views
1K
  • · Replies 5 ·
Replies
5
Views
2K
  • · Replies 3 ·
Replies
3
Views
2K
  • · Replies 6 ·
Replies
6
Views
3K
  • · Replies 28 ·
Replies
28
Views
3K
  • · Replies 16 ·
Replies
16
Views
3K
  • · Replies 7 ·
Replies
7
Views
3K
  • · Replies 1 ·
Replies
1
Views
1K
  • · Replies 5 ·
Replies
5
Views
3K