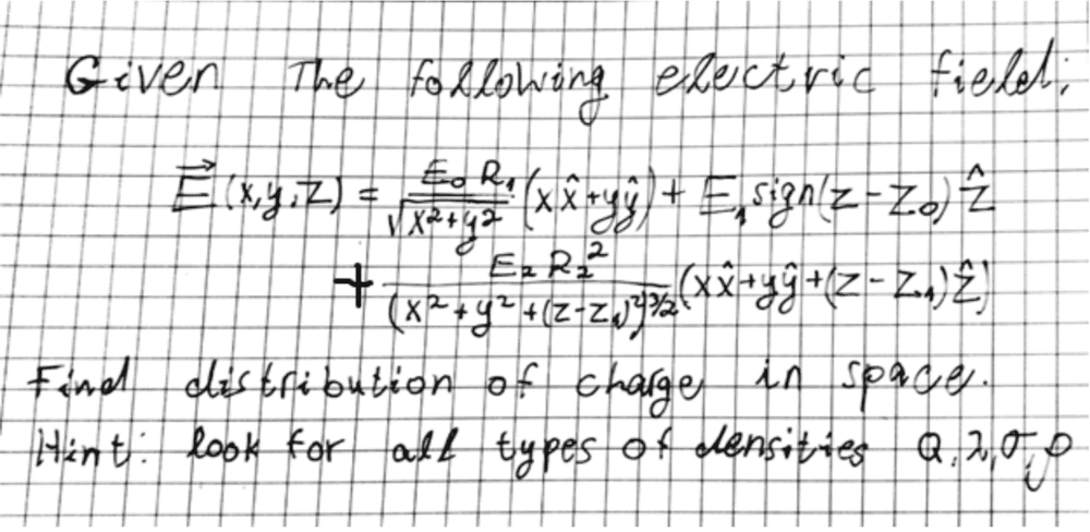
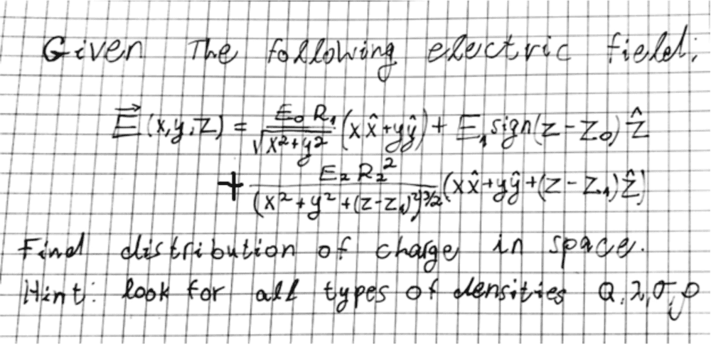
Given Electric field, find the charge densities

Click For Summary

Discussion Overview

The discussion revolves around a physics homework problem involving the determination of charge densities from a given electric field. Participants explore concepts related to electrostatics, specifically focusing on the relationship between electric fields and charge distributions, including volume charge density and surface charge density.

Discussion Character

  • Homework-related
  • Exploratory
  • Technical explanation

Main Points Raised

  • One participant expresses uncertainty about how to approach the third term in their solution for charge densities.
  • Another participant suggests recognizing the shape of the electric field when a specific condition is met (##z_1 = 0##) and implies it may be spherical.
  • There is a discussion about the presence of charge and the possibility of a spherically symmetric charge distribution.
  • Participants mention using Gauss's law and its differential form as part of their reasoning.
  • One participant questions whether it is necessary to consider different cases for regions inside and outside a sphere with radius R.
  • A later reply indicates that a point charge at a specific location may be a solution to the problem.

Areas of Agreement / Disagreement

Participants express varying levels of understanding and approaches to the problem, with some uncertainty about the necessity of splitting cases based on the radius R. The discussion does not reach a consensus on the best approach to solve the problem.

Contextual Notes

Participants reference specific terms and concepts related to electrostatics, but there are unresolved assumptions regarding the charge distribution and the implications of the electric field shape.

ybisno
Messages
8
Reaction score
0
Homework Statement
Find the charge densities given the electric field (Attached question)
Relevant Equations
Electrostatics
Hi. Need help with physics homework. I was able to separate each term and find sigma from the second term and possibly lambda from the first term. Not sure how to approach the third term. (attached attempt at question)
 

Attachments

  • Screenshot 2019-03-27 at 15.12.58.png
    Screenshot 2019-03-27 at 15.12.58.png
    96.7 KB · Views: 429
  • Screenshot 2019-03-27 at 15.12.58.png
    Screenshot 2019-03-27 at 15.12.58.png
    96.7 KB · Views: 424
  • Screenshot 2019-03-27 at 15.54.39.png
    Screenshot 2019-03-27 at 15.54.39.png
    107.2 KB · Views: 412
Physics news on Phys.org
Would you recognize the shape of the field if ##z_1 = 0## ?

(to begin with, for ##|\vec r| \ge R_2 ## :wink: )
 
BvU said:
Would you recognize the shape of the field if ##z_1 = 0## ?

(to begin with, for ##|\vec r| \ge R_2 ## :wink: )
Yes its spherical right? could you guide me for the third term; how to find a density ?
 
Completely spherical around ##\ (0,0,z_1)\ ##, yes
Any clue as to where there is no charge present ?
 
No. We are currently looking to find either volume charge density or Q- charge density. That was the only hint I was given, the first two parts of my solution seem correct. Just the last term, I am struggling with.
 
And no clue as to where there is charge present either ?

Made a sketch of E versus r ?
 
BvU said:
And no clue as to where there is charge present either ?

Made a sketch of E versus r ?
Not really understanding your responses...
 
Yes, We have just started electrostatics. I used the concept of Gauss's differential form for the first section of my answer (the second term of the Electric field with the sign(z-z0).
 
  • #10
  • #11
BvU said:
Hard to help without giving it away completely.
You have a spherically symmetric field, so you are looking for a spherically symmetric charge distribution. Can it be, e.g., a sphere with uniformly distributed charge of a certain size ?
hmm so we would need to solve for Q (Uniform charge of the sphere) but would I need to split it into two cases? r>R and r<R?
 
  • #12
Is that really necessary ? What if R ##\downarrow 0 ## ?
 
  • #13
BvU said:
Is that really necessary ? What if R ##\downarrow 0 ## ?
I think i figured it out ! Thank you !
 
  • #14
Point charge at (0,0,z1)
 

Similar threads

  • · Replies 2 ·
Replies
2
Views
3K
  • · Replies 2 ·
Replies
2
Views
2K
  • · Replies 6 ·
Replies
6
Views
710
  • · Replies 7 ·
Replies
7
Views
3K
Replies
1
Views
2K
  • · Replies 4 ·
Replies
4
Views
2K
  • · Replies 5 ·
Replies
5
Views
1K
  • · Replies 1 ·
Replies
1
Views
1K
  • · Replies 7 ·
Replies
7
Views
2K
Replies
2
Views
3K