Given Electric Field, Find the charge densities.... (Electrostatics)

Click For Summary
SUMMARY

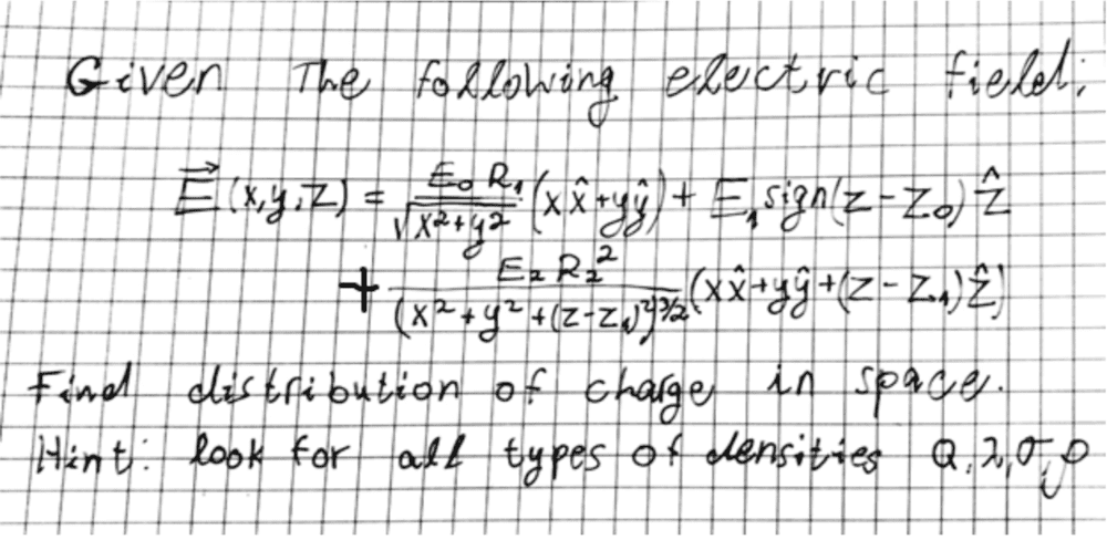
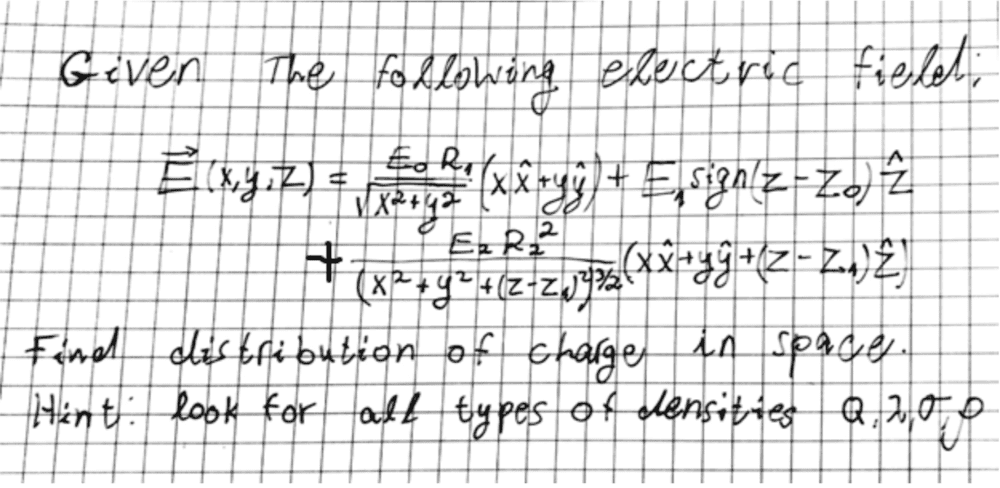
This discussion focuses on solving a physics problem related to electrostatics, specifically finding charge densities given an electric field. The user successfully determined the surface charge density (σ) from the second term and the linear charge density (λ) from the first term but requires assistance with the third term. The conversation emphasizes the importance of providing an attempt at a solution when seeking help in academic forums.

PREREQUISITES
  • Understanding of electrostatics concepts, including electric fields and charge densities.
  • Familiarity with the mathematical relationships between electric fields and charge distributions.
  • Basic knowledge of physics problem-solving techniques.
  • Experience with academic forum etiquette, particularly in posting homework questions.
NEXT STEPS
  • Review the principles of Gauss's Law in electrostatics.
  • Study the relationship between electric fields and surface charge densities.
  • Learn about linear charge density calculations in various configurations.
  • Explore common techniques for solving electrostatics problems in physics coursework.
USEFUL FOR

Students studying physics, particularly those focusing on electrostatics, as well as educators and tutors assisting with homework in this subject area.

ybisno
Messages
8
Reaction score
0
Hi. Need help with physics homework. I was able to separate each term and find sigma from the second term and possibly lambda from the first term. Not sure how to approach the third term. (IMAGE ATTACHED)
 

Attachments

  • Screenshot 2019-03-27 at 15.12.58.png
    Screenshot 2019-03-27 at 15.12.58.png
    96.7 KB · Views: 327
Engineering news on Phys.org
Hello ybisno, ##\qquad##:welcome:##\qquad##
ybisno said:
Need help with physics homework
So post in a homework forum and use the template. In PF, an attempt at solution (in your case for the 3rd term) is also required.
 

Similar threads

  • · Replies 4 ·
Replies
4
Views
2K
  • · Replies 5 ·
Replies
5
Views
1K
  • · Replies 6 ·
Replies
6
Views
712
  • · Replies 13 ·
Replies
13
Views
2K
  • · Replies 16 ·
Replies
16
Views
2K
Replies
2
Views
3K
  • · Replies 2 ·
Replies
2
Views
3K
Replies
92
Views
7K
  • · Replies 4 ·
Replies
4
Views
2K
Replies
4
Views
4K