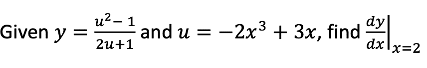
Given y=u^2-1/2u+1 and u=-2x^3+3x, find dy/dx

  • Thread starter Thread starter ttpp1124
  • Start date Start date
Click For Summary

Homework Help Overview

The discussion revolves around finding the derivative dy/dx for the function y defined in terms of u, where u is a cubic function of x. The original poster presents a formula for y and its relationship to u, along with attempts to compute the derivative at a specific point.

Discussion Character

  • Mixed

Approaches and Questions Raised

  • Participants discuss the readability of the original problem image and its impact on understanding. Some participants confirm the correctness of the derivative calculations, while others express concerns about the clarity of the problem statement and the implications of the title.

Discussion Status

The discussion includes attempts to clarify the problem and verify calculations. While some participants offer guidance on improving the presentation of the work, there is no explicit consensus on the correctness of the title or the approach taken.

Contextual Notes

Concerns are raised about the readability of the posted images, which may hinder effective communication and understanding of the problem. There is also a suggestion that the title may not accurately reflect the content of the problem.

ttpp1124
Messages
110
Reaction score
4
Homework Statement
Question and answer are two separate images...I feel like some steps can be removed..?
Can someone check my work?
Relevant Equations
n/a
Screen Shot 2020-04-26 at 11.36.08 AM.png
17.jpeg
 
Physics news on Phys.org
The image you posted is mostly unreadable. The leftmost two-thirds are in shadow, and the page isn't flat, making the problem worse.
Please post a more readable image of your work, with the paper better lit and flatter.
 
Looks correct to me.

Given: ##y(u)=\frac{u^2-1}{2u+1}## where ##u=u(x)=-2x^3+3x##
===
##y'(u)=\frac{(2u)(2u+1)-(u^2-1)(2)}{(2u+1)^2}=\frac{4u^2+2u-2u^2+2}{(2u+1)^2}=\frac{2u^2+2u+2}{(2u+1)^2}=2\cdot \frac{u^2+u+1}{(2u+1)^2}##
##u'(x)=-6x^2+3##
===
##u(2)=-2(2)^3+3(2)=-16+6=-10##
===
##y'(u(2))=2\cdot \frac{100-10+1}{(-20+1)^2}=2(\frac{91}{19^2})##
##u'(2)=-6(2)^2+3=-21##
===

Hence, ##(y\circ u)'(2)=y'(u(2))u'(2)=2(\frac{91}{361})(-21)=\frac{-42\cdot 91}{19\cdot 19}##, as you have written in your paper.
 
Last edited:
  • Like
Likes   Reactions: ttpp1124
Mark44 said:
The image you posted is mostly unreadable. The leftmost two-thirds are in shadow, and the page isn't flat, making the problem worse.
Please post a more readable image of your work, with the paper better lit and flatter.

As you are making a habit of only just about readable photos, I recommend you clean them with an app such as DocHD.
Then worse than irritating is the title, which everyone suspects is wrong as soon as they see it. This is confirmed as soon as they read the post which states the formula we thought probably meant, but it's a dangerous habit.
 

Similar threads

  • · Replies 13 ·
Replies
13
Views
2K
  • · Replies 10 ·
Replies
10
Views
2K
  • · Replies 12 ·
Replies
12
Views
3K
  • · Replies 25 ·
Replies
25
Views
2K
Replies
32
Views
3K
  • · Replies 7 ·
Replies
7
Views
2K
Replies
5
Views
2K
  • · Replies 11 ·
Replies
11
Views
2K
  • · Replies 3 ·
Replies
3
Views
2K
  • · Replies 44 ·
2
Replies
44
Views
6K