Green's Ellipse (Move to Math homework)

Click For Summary

Homework Help Overview

The discussion revolves around converting a double integral involving the function \(-2y^3\) into polar coordinates, specifically within the context of an elliptical region. Participants explore the implications of symmetry in the region and its effect on the integral.

Discussion Character

  • Exploratory, Conceptual clarification, Assumption checking

Approaches and Questions Raised

  • Participants discuss the conversion of the integral to polar coordinates and question the limits of integration due to the elliptical shape. There are inquiries about the memorization of symmetry properties and their proofs, as well as the applicability of these properties to other examples.

Discussion Status

Several participants have provided insights into the conversion process and the nature of symmetry in the context of the problem. There is an ongoing exploration of the relationship between the integrand and the shape of the ellipse, with differing perspectives on the significance of symmetry in the integral's evaluation.

Contextual Notes

Some participants express uncertainty about their familiarity with conic sections and the implications of symmetry in integrals, indicating a potential gap in foundational knowledge that may affect their understanding of the problem.

Calpalned
Messages
297
Reaction score
6

Homework Statement


Picture1.png


Homework Equations


N/A

The Attempt at a Solution


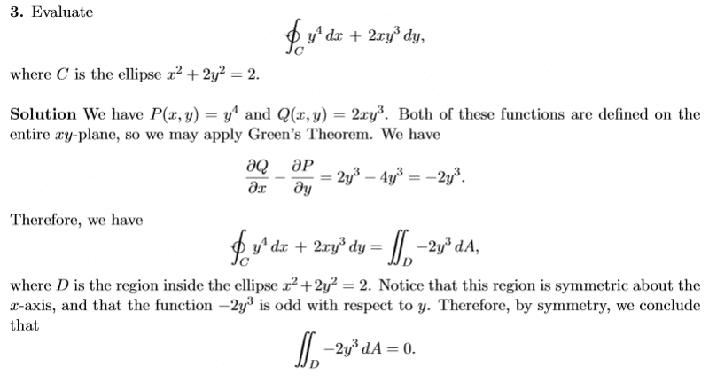
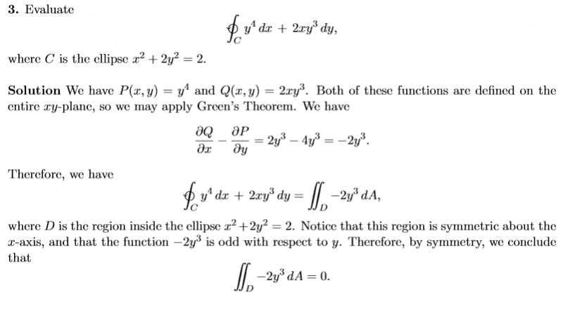
Question 1) Suppose I tried to convert ##\int \int_c {-2y^3} dA## into polar coordinates. What would the limits be? I know that ##x = rcos(\theta), y = rsin(\theta)## but the two rs are different (unlike in a circle).

Q2) Regarding the picture, it says "Notice that this region is symmetric about..."). I was never taught this in school and as a result I have a few questions: Is there a trick for memorizing this? Is there a simple proof? Are there any other examples where I could use this "symmetry trick"? And finally, it seems that the trick is only dependent on ##-2y^3## and not on the shape of the ellipse, right?

Q3) The symm
 
Physics news on Phys.org
How do I move a thread to another forum?
 
Calpalned said:
How do I move a thread to another forum?
Taken care of. :wink:

In future, if you need help, just hit the "Report" button in the lower left hand corner and leave a message for a mentor.
 
Calpalned said:

Homework Statement


View attachment 81907

Homework Equations


N/A

The Attempt at a Solution


Question 1) Suppose I tried to convert ##\int \int_c {-2y^3} dA## into polar coordinates. What would the limits be? I know that ##x = rcos(\theta), y = rsin(\theta)## but the two rs are different (unlike in a circle).

An ellipse is a closed curve, like a circle, so if you use the polar form of an ellipse, the coordinates will repeat after a while.

http://en.wikipedia.org/wiki/Ellipse#Polar_form_relative_to_center

It's not clear why you want to convert the integral in the OP to polar coordinates.

Q2) Regarding the picture, it says "Notice that this region is symmetric about..."). I was never taught this in school and as a result I have a few questions: Is there a trick for memorizing this? Is there a simple proof? Are there any other examples where I could use this "symmetry trick"? And finally, it seems that the trick is only dependent on ##-2y^3## and not on the shape of the ellipse, right?

You don't sound like you are familiar with the shape of the conic sections.

You should study these curves as they pop up quite frequently in math & physics:

http://en.wikipedia.org/wiki/Conic_section
 
Calpalned said:

Homework Statement



Question 1) Suppose I tried to convert ##\int \int_c {-2y^3} dA## into polar coordinates. What would the limits be? I know that ##x = rcos(\theta), y = rsin(\theta)## but the two rs are different (unlike in a circle).

Rewrite the ellipse in standard form:$$
\frac {x^2} 2 + \frac{y^2} 1 = 1$$This suggests the polar-like substitution$$
x = \sqrt 2 r \cos\theta,~~y= r \sin\theta$$Now you can let ##r## vary from ##0## to ##1## and ##\theta## from ##0## to ##2\pi##. And don't forget the proper ##dA##.

Q2) Regarding the picture, it says "Notice that this region is symmetric about..."). I was never taught this in school and as a result I have a few questions: Is there a trick for memorizing this? Is there a simple proof? Are there any other examples where I could use this "symmetry trick"? And finally, it seems that the trick is only dependent on ##-2y^3## and not on the shape of the ellipse, right?
Wrong. The shape of the ellipse being symmetric is why the integral is zero with an odd integrand in ##y##.
 

Similar threads

Replies
1
Views
2K
Replies
3
Views
2K
  • · Replies 1 ·
Replies
1
Views
4K
  • · Replies 4 ·
Replies
4
Views
3K
Replies
4
Views
2K
  • · Replies 9 ·
Replies
9
Views
2K
  • · Replies 4 ·
Replies
4
Views
3K
Replies
4
Views
2K
  • · Replies 3 ·
Replies
3
Views
12K
  • · Replies 2 ·
Replies
2
Views
2K