How can we determine the set of points at which a function is continuous?

  • Context: MHB 
  • Thread starter Thread starter ineedhelpnow
  • Start date Start date
  • Tags Tags
    Continuity
Click For Summary

Discussion Overview

The discussion revolves around determining the set of points at which a function is continuous, specifically focusing on the limit of a function as it approaches the origin and the implications for continuity. The conversation includes various approaches to evaluating limits, including epsilon-delta proofs and the squeeze theorem, as well as the challenges participants face in understanding these concepts.

Discussion Character

  • Exploratory
  • Technical explanation
  • Debate/contested
  • Mathematical reasoning
  • Homework-related

Main Points Raised

  • Some participants express confusion about how to determine the continuity of a function and request explanations.
  • One participant questions the limit of the function as it approaches the origin, suggesting it might equal 1.
  • Another participant challenges this by proposing that different paths yield different results, specifically using the path \(y=x\).
  • Several participants report calculating the limit and obtaining 0, questioning whether this is correct.
  • One participant mentions the delta-epsilon definition of continuity and expresses difficulty in applying it due to a lack of understanding from previous instruction.
  • Another participant explains the squeeze theorem and provides an example, attempting to clarify its application.
  • A later reply suggests that the limit does not equal the function value at the origin, indicating a discontinuity.
  • One participant outlines a plan to prove the limit exists using both epsilon-delta and squeeze theorem methods, while also concluding that the function is not continuous at the origin.

Areas of Agreement / Disagreement

Participants do not reach a consensus on the limit's value as it approaches the origin, with some asserting it is 0 and others suggesting it is 1. The discussion includes multiple competing views on the application of continuity definitions and the methods to evaluate limits.

Contextual Notes

Participants express uncertainty regarding the application of the delta-epsilon definition and the squeeze theorem, indicating a reliance on definitions that may not be fully understood. The discussion also highlights the potential for different paths to yield different limit values, which complicates the determination of continuity.

ineedhelpnow
Messages
649
Reaction score
0
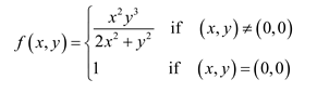
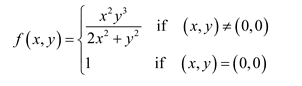
im lost. can someone explain how to do this problem?
determine the set of points at which the function is continuous
View attachment 3360
 

Attachments

  • 2.png
    2.png
    2.1 KB · Views: 151
Physics news on Phys.org
Is it true

$$\lim_{(x,y)\to (0,0)} \frac{x^2y^3}{2x^2+y^2} = 1$$
 
i am not sure

- - - Updated - - -

i think its not
 
ineedhelpnow said:
i am not sure

Any path through The origin should result in $1$. Try the path $y=x$. Does it result in $1$ ?
 
no.
 
i got 0. is that wrong?
 
ineedhelpnow said:
i got 0. is that wrong?

W|A can tell you if you are wrong or not, but how did you obtain this value? (Thinking)
 
did f(x,x) since i put in x for y and then i simplified and took the limit of that as it approaches 0 (plugged it into my calc). i got 0. unless i did something wrong.
 
ineedhelpnow said:
did f(x,x) since i put in x for y and then i simplified and took the limit of that as it approaches 0 (plugged it into my calc). i got 0. unless i did something wrong.

So the value of the limit is not equal to the value of the function, what can you conclude ?
 
  • #10
thats what i don't understand. my book uses this delta epsilon stuff for it and i was never properly taught the delta epsilon proof in calc 1 so i don't understand this problem at all. and sometimes my teacher uses the squeeze theorem for these problems which i also don't know how to use that well. i know what they both say but i don't get how to use them.
 
  • #11
Squeeze theorem is simple.

Say you have:
$$\lim_{{x}\to{0}}x^2\sin\left({\frac{1}{x^2}}\right)$$

We know that $-1\le\sin\left({x}\right)<1$, and so you just want to manipulate it so that function mirrors the one given...

$$-1\le \sin\left({\frac{1}{x}}\right)\le1$$
$$-x^2\le x^2 \sin\left({\frac{1}{x}}\right)\le x^2$$

We know that as $x$ approaches 0, then the outer functions of the inequality also goes to zero. Because $x^2\sin\left({\frac{1}{x}}\right)$ is always between the two outer functions, it must also go to zero (which doesn't necessary mean that it is defined at 0)
 
  • #12
i get the idea of it but like how would i implement it in a problem like this. i know this problem may not be that difficult but my instructor wants proof for the solution to this problem.
 
  • #13
ineedhelpnow said:
i get the idea of it but like how would i implement it in a problem like this. i know this problem may not be that difficult but my instructor wants proof for the solution to this problem.

There is nothing to prove. The only discontinuity can happen at the origin and since the value of the function is not equal to the limit at the origin, the function is not continuous at that particular point.
 
  • #14
im looking at how it was done with the squeeze theorem but it makes no sense.
 
  • #15
If you really need to use deltas and epsilons, you could proceed by showing (in the language of deltas and epsilons, of course) that despite the fact that we can make $(x, y)$ arbitrarily close to $(0, 0)$ (by making it equal $(x, x)$ as $x$ tends to zero), the distance from $f((x, x))$ to $f((0, 0)) = 1$ as $x \to 0$ does not get arbitrarily small, since the latter equals one while the former converges to zero. And as a result the function fails to be continuous at $(0, 0)$ by definition of epsilon-delta continuity.

Does that make it clearer?​
 
Last edited:
  • #16
I'll have an attempt at this problem now, most likely for future readers. I will first prove that the limit exists by using two methods, the first being an epsilon delta proof and the second with squeeze theorem. Then, since we find that the limit at the origin does not equal to value of the function, it does not satisfy the conditions of being continuous at the origin.

The squeeze theorem is quite straightforward to apply most of the time using the property $x^2\le x^2+y^2$ or $y^2\le x^2+y^2$.
We have $$\lim_{{(x,y)}\to{(0,0)}}\frac{x^2y^3}{2x^2+y^2}$$, and we can deduce the following:
$$0\le \left| \frac{x^2y^3}{2x^2+y^2} \right|< \frac{x^2\left| y^3 \right|}{x^2+y^2} \le \frac{(x^2+y^2)\left| y^3 \right|}{x^2+y^2}=\left| y^3 \right|$$
As we take the limit as $(x,y)$ tends to $(0,0)$ on the right most inequality, by the squeeze theorem, $$\lim_{{(x,y)}\to{(0,0)}}\frac{x^2y^3}{2x^2+y^2}$$ must also equal zero. From here, we can say that the given piecewise function is not continuous at $(0,0)$Alternatively, we can use an epsilon delta proof.
For all $\epsilon>0$, there exists a $\delta$ such that whenever $\left| \text{x}-\text{a} \right|<\delta$, $\left| f(\text{x})-L \right|<\epsilon$, where $\text{x}=(x,y), \text{a}=(a,b)$, both vectors. In other words, whenever $\sqrt{(x-a)^2+(y-b)^2}<\delta, \left| f(x,y)-L \right|<\epsilon$.
In this problem, we have $\sqrt{x^2+y^2}<\delta$, $$\left| \frac{x^2y^3}{2x^2+y^2} \right|<\epsilon$$.

From above, we have shown that $$\left| \frac{x^2y^3}{2x^2+y^2} \right|<\left| y \right|^3=\left(x^2+y^2\right)^{3/2}$$. Set $\delta = \epsilon ^{1/3}$. So for any $\epsilon$, we have:

$\sqrt{x^2+y^2}<\delta =\epsilon ^{1/3}$
$(x^2+y^2)^{3/2}<\epsilon$
$$\frac{x^2y^3}{2x^2+y^2} <\epsilon$$, as required.
The limit exists and equals $0$, which is not equal to the function evaluated at $(0,0)$, therefore the function is not continuous at the origin.
 
Last edited:

Similar threads

  • · Replies 9 ·
Replies
9
Views
2K
  • · Replies 21 ·
Replies
21
Views
7K
  • · Replies 1 ·
Replies
1
Views
1K
  • · Replies 4 ·
Replies
4
Views
2K
  • · Replies 2 ·
Replies
2
Views
4K
Replies
1
Views
2K
  • · Replies 18 ·
Replies
18
Views
3K
  • · Replies 9 ·
Replies
9
Views
4K
  • · Replies 11 ·
Replies
11
Views
3K
Replies
11
Views
2K