How to solve ∫2e^-2/tsin(3t)dt using integration by parts?

  • Thread starter Thread starter xzibition8612
  • Start date Start date
  • Tags Tags
    Integration
Click For Summary

Homework Help Overview

The discussion revolves around solving the integral ∫2e^(-2/t)sin(3t)dt using integration by parts. Participants are exploring the appropriate setup for the integration by parts method and questioning the steps involved in the solution process.

Discussion Character

  • Exploratory, Assumption checking, Mathematical reasoning

Approaches and Questions Raised

  • Participants discuss the initial setup for integration by parts, with one suggesting a different choice for u. There is mention of encountering a repetitive form when applying integration by parts, leading to confusion about the correct approach.

Discussion Status

Some guidance has been offered regarding the choice of u in the integration by parts method. Participants are actively questioning assumptions and exploring different interpretations of the problem setup, but no consensus has been reached on the best approach.

Contextual Notes

There are indications of potential typos in the original problem statement, and participants are clarifying the correct form of the exponential function involved in the integral.

xzibition8612
Messages
137
Reaction score
0

Homework Statement


see attachment.


Homework Equations





The Attempt at a Solution


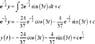
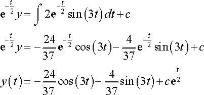
ok so the equation is in the attachment. My question is how did ∫2e...etc. in the first line get solved and get the answer in the second line. I tried integration by parts and set 2e^-2/t as the u and sin(3t)dt as dv and then did the uv-∫vdu, but then i get a ecos(3t) form for the ∫vdu and if i kept doing integration by parts i get never ending esin/cos. Anybody can help me or tell me how to solve this much appreciated.
 

Attachments

  • integral.jpg
    integral.jpg
    11.3 KB · Views: 412
Physics news on Phys.org
xzibition8612 said:

Homework Statement


see attachment.


Homework Equations





The Attempt at a Solution


ok so the equation is in the attachment. My question is how did ∫2e...etc. in the first line get solved and get the answer in the second line. I tried integration by parts and set 2e^-2/t as the u and sin(3t)dt as dv and then did the uv-∫vdu, but then i get a ecos(3t) form for the ∫vdu and if i kept doing integration by parts i get never ending esin/cos. Anybody can help me or tell me how to solve this much appreciated.

You cannot set u = 2e^(-2/t); instead, set u = 2 e^(-t/2).

In problems like this, the integral I can be found using integration by parts twice: you will get an equation of the form I = f1(t) + f2(t)*I, so you can solve for I. I am surprised you have not seen this before; it is one of the standard 'tricks'.
 
well i apologize if my lack of intelligence offended you, but thanks anyway.
 
xzibition8612 said:
well i apologize if my lack of intelligence offended you, but thanks anyway.
Ray Vickson said nothing about your intelligence. He only said that he was surprised that you had not seen, before, a particular, but commonly used, method for this kind of problem. That has to do with experience, not intelligence.
 
Last edited by a moderator:
attachment.php?attachmentid=54791&d=1358369123.jpg


You may have a typo in your working of the problem.

The stated problem in the attachment has [itex]\displaystyle \ \ e^{-t/2}\ .\[/itex] I your Original Post, you are letting u=2e-2/t rather than letting u=2e-t/2 .

In either case, du/dt ≠ e .

[itex]\displaystyle \frac{d}{dt} e^{-t/2}=\frac{-1}{2}e^{-t/2}\ .\[/itex]Considering the sign and the coefficient of the cosine term, I'm convinced that you should go the other way with integration by parts,
Let u=sin(3t) and dv=2e-2/tdt .​
 

Similar threads

  • · Replies 3 ·
Replies
3
Views
2K
  • · Replies 1 ·
Replies
1
Views
2K
Replies
32
Views
4K
  • · Replies 13 ·
Replies
13
Views
3K
Replies
9
Views
3K
  • · Replies 12 ·
Replies
12
Views
2K
  • · Replies 3 ·
Replies
3
Views
2K
Replies
2
Views
3K
  • · Replies 1 ·
Replies
1
Views
2K
  • · Replies 15 ·
Replies
15
Views
2K