I need to prove del cross f= 0

  • Thread starter Thread starter Ashley1nOnly
  • Start date Start date
  • Tags Tags
    Cross Del
Click For Summary

Homework Help Overview

The problem involves proving that the curl of a vector field, specifically in the form F(x) = f(r)x where r = |x|, equals zero. Additionally, there is a question regarding the general form of the function f(r) under the condition that the divergence of F is also zero.

Discussion Character

  • Exploratory, Conceptual clarification, Mathematical reasoning

Approaches and Questions Raised

  • Participants discuss the use of polar versus Cartesian coordinates for calculating the curl, with some suggesting that Cartesian coordinates may simplify the process. There are also questions about notation and clarity in the original post, particularly regarding the distinction between F and f.

Discussion Status

Some participants have provided guidance on how to approach the calculation of the curl using Cartesian coordinates, while others have raised concerns about the clarity of the original post's notation. There is an ongoing exploration of the implications of scalar functions and vector fields in the context of the curl operation.

Contextual Notes

Participants note potential confusion arising from the notation used in the original post, particularly the mixing of variables and the representation of the vector field. There is also mention of forum policies regarding posting images versus typed work.

Ashley1nOnly
Messages
132
Reaction score
3

Homework Statement



F(x) has the form F(x)=f(r)x where r=|x|

A.) prove that del cross f =0
B.) Now suppose also Del •F = O. What is the most general form allowed for f(r)?

Homework Equations

The Attempt at a Solution


I have done part b but what do I need for A

F(X)= r(hat)
Fr = 1, F(theta) = F(phi)= O.

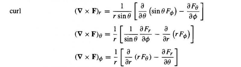
Got this out of book.

Using equation from the book ( del cross F) r
I get zero.

But what is the proof behind it
Have my answer for part a uploaded
 

Attachments

  • image.jpeg
    image.jpeg
    12.9 KB · Views: 1,453
  • image.jpeg
    image.jpeg
    25.4 KB · Views: 820
Physics news on Phys.org
The formulas for ##\nabla\times## in polar coordinates make calculations with radial vectors easy because all the hard work has been done in deriving the formulas. If you have not been given those formulas, and hence are required to derive them if you use them, there is no point in using them because the work involved in deriving them is greater than the work involved in just doing the whole calc in Cartesian coordinates.

Given that, the simplest way is just to do the calc in Cartesian coordinates. Since the usual coordinate names in Cartesian are ##x,y,z## I suggest you instead call your point ##\vec r##. Then the coordinates of ##\vec F(\vec r)## are ##(f(r)x,f(r)y,f(r)z)##, writing ##r## for ##\|\vec r\|##.

Then use the Cartesian formula for ##\nabla\times##:
$$\nabla\times\vec u=(\partial_x,\partial_y,\partial_z)\times (u_x,u_y,u_z)=(\partial_y u_z-\partial_zu_y)\hat i
+(\partial_z u_x-\partial_xu_z)\hat j
+(\partial_x u_y-\partial_yu_x)\hat k$$
where ##\partial_x## denotes ##\frac{\partial}{\partial x}## and ##u_x## is the ##x## coordinate of ##\vec u##.

The calc is quite short.
 
Last edited:
Ashley1nOnly said:

Homework Statement



F(x) has the form F(x)=f(r)x where r=|x|

A.) prove that del cross f =0
B.) Now suppose also Del •F = O. What is the most general form allowed for f(r)?

Your notation is terrible. It appears you are mixing up F and f in A. Apparently what you are calling x is what would normally be denoted ##\vec r = \langle x,y,z\rangle##. And in your work you use x as above and also as one of its components, which is very confusing. Also, your posting images instead of typing your work makes it difficult to edit and violates forum policy.

I wouldn't normally bother to answer such a post, but it's a slow day here so...
I think your question is, given ##\vec r = \langle x,y,z\rangle## and ##r = |\vec r| =\sqrt{x^2+y^2+z^2}##, and ##f(r)## is a differentiable function, calculate ##\nabla \times f(r)\vec r##. Write that out carefully and you should get the zero vector. If you get stuck and don't get that, type your work here for additional help.

Edit: I see Andrew posted while I was typing. Obviously, he and I agree about how to work it.
 
I must first ask, why does r=|r-hat|?

I understand that |r-hat| equals sqrt(rx^2+ry^2+rz^2)
Rx^2 is just r with respect to X.
 
Also f(r) is a scalar function.
When doing del X (f(r) (r-hat)
I know that you can't multiply Del with a scalar. You can only cross with a vector which is r-hat.

So in order to do this it would be
Del•(f(r)) X r-hat + f(r)•(Del X r-hat)
 
Wait, you can multiply Del with a scalar function but you can't cross Del with a scalar function
 
Of ##\phi## is a scalar and ##\vec V## is a vector, a standard formula (which you can prove yourself) is$$
\nabla \times \phi \vec V = \nabla \phi \times \vec V + \phi ( \nabla \times \vec V)$$
 

Similar threads

  • · Replies 2 ·
Replies
2
Views
2K
  • · Replies 6 ·
Replies
6
Views
2K
Replies
4
Views
3K
  • · Replies 9 ·
Replies
9
Views
2K
  • · Replies 1 ·
Replies
1
Views
3K
  • · Replies 3 ·
Replies
3
Views
2K
Replies
4
Views
1K
  • · Replies 4 ·
Replies
4
Views
7K
  • · Replies 2 ·
Replies
2
Views
2K
  • · Replies 5 ·
Replies
5
Views
2K