Indefinite integral of cross product of 2 function

Click For Summary

Homework Help Overview

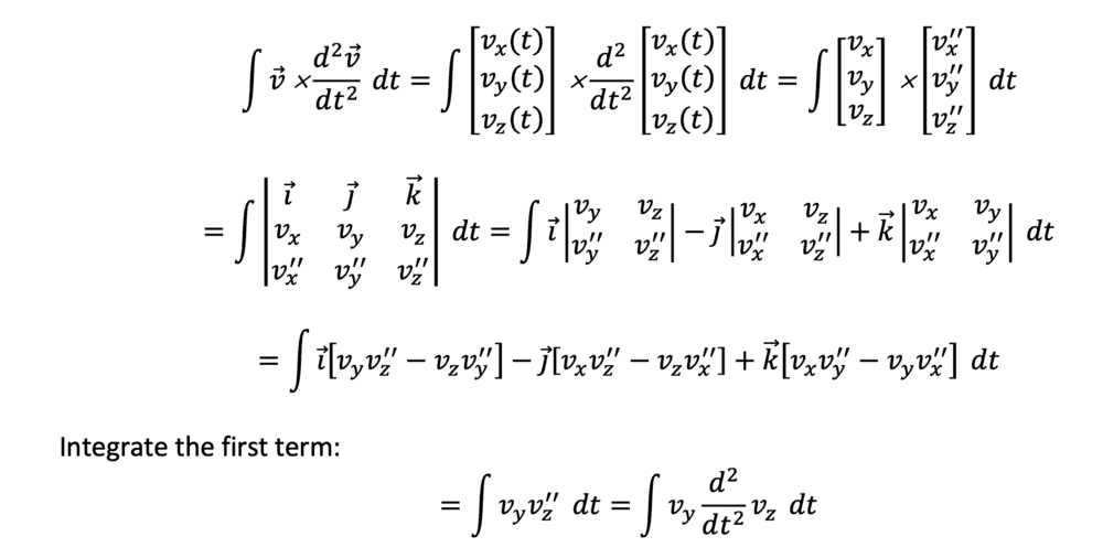
The discussion revolves around the indefinite integral of a cross product involving functions, specifically focusing on the integral of the form $$\int v \frac{d^2v}{dt^2} dt$$. Participants are attempting to clarify the problem statement and the notation used in the context of vector calculus.

Discussion Character

  • Conceptual clarification, Assumption checking, Problem interpretation

Approaches and Questions Raised

  • Some participants question the clarity of the problem statement and the notation used, particularly regarding the distinction between scalar and vector quantities. Others discuss the implications of integrating the cross product and the correct interpretation of the terms involved.

Discussion Status

The discussion is ongoing, with participants seeking further details and clarification on the problem setup. There is an acknowledgment of confusion regarding notation and the mathematical expressions presented, but no consensus has been reached on the correct approach or interpretation.

Contextual Notes

Participants note that the original problem statement lacks sufficient detail, which may lead to misunderstandings. There is also a mention of specific notation choices that could contribute to the confusion in the discussion.

agnimusayoti
Messages
239
Reaction score
23
Homework Statement
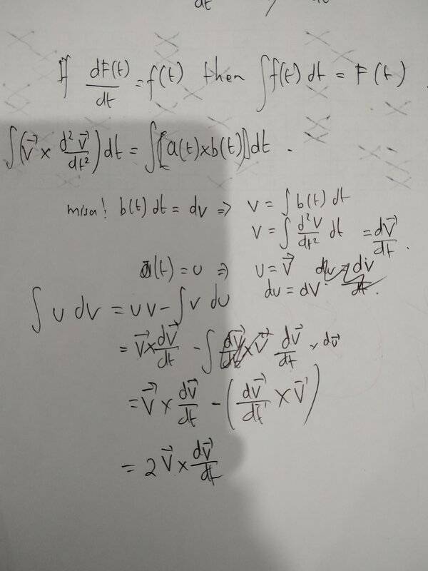
If ##\vec{v} (t)## is a vector function of t, find indefinite integral
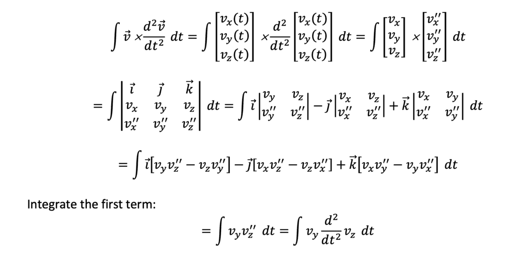
$$\int {\left(\vec v \times \frac{d^2 \vec v}{dt^2} dt\right)}$$
Relevant Equations
Idk.
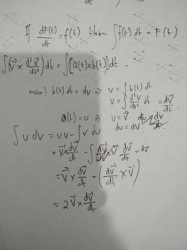
I've tried with this work in attachment. i&m not sure of my answer is correct.
 

Attachments

  • 15926584704436099750539116260485.jpg
    15926584704436099750539116260485.jpg
    36.3 KB · Views: 243
Physics news on Phys.org
The problem statement is not given properly. Can you provide us proper details? If you are computing:

$$\int v \frac{d^2v}{dt^2} dt$$​

You mentioned ##dv = b(t) dt##, and then computed ##v##:

$$v = \frac{dv}{dt}$$​

You know this is inherently not correct, unless the function is specifically ##v(t) = e^t##. Don't forget about generality when writing math proofs, or computing such things.
 
  • Like
Likes   Reactions: Delta2
Zondrina said:
The problem statement is not given properly. Can you provide us proper details? If you are computing:
$$\int v \frac{d^2v}{dt^2} dt$$​
The thread title says cross product.
 
Last edited:
Screen Shot 2020-06-21 at 10.51.10 AM.png
Screen Shot 2020-06-21 at 10.51.39 AM.png

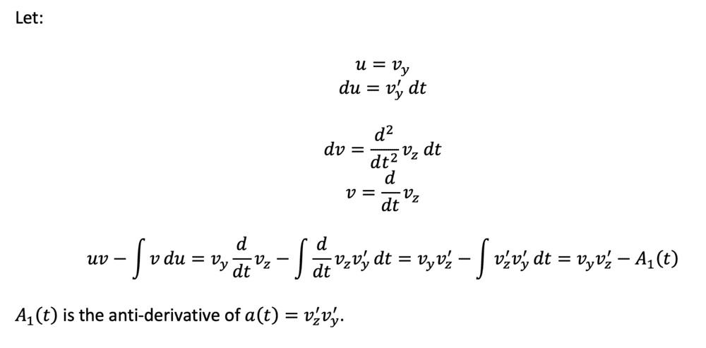
Integrate all the remaining terms, and you get a sum of antiderivatives that subtract from the other terms.

I still dislike how we use X for multiplication, and cross product every time I see it, sorry for the confusion.
 
@agnimusayoti , I think you confused everyone with your unfortunate choice of notation, using v (no arrow) for ##\frac{d\vec v}{dt}## and u for ##\vec v##.
Where your algebra goes wrong is in handling ##\int \frac{d\vec v}{dt}\times d\vec v##. The correct result becomes obvious if you write it as ##\int \frac{d\vec v}{dt}\times \frac{d\vec v}{dt}dt##
 

Similar threads

  • · Replies 4 ·
Replies
4
Views
1K
  • · Replies 3 ·
Replies
3
Views
2K
Replies
1
Views
1K
Replies
6
Views
2K
  • · Replies 3 ·
Replies
3
Views
2K
  • · Replies 5 ·
Replies
5
Views
1K
  • · Replies 7 ·
Replies
7
Views
2K
  • · Replies 9 ·
Replies
9
Views
2K
Replies
2
Views
2K
  • · Replies 5 ·
Replies
5
Views
2K