Infinite series to calculate integrals

Click For Summary

Homework Help Overview

The discussion revolves around the use of infinite series to calculate integrals, specifically focusing on the integral of the function f(x)=sqrt(1-x^2) from 0 to 1. Participants explore the challenges associated with evaluating this integral and the implications of using power series in this context.

Discussion Character

  • Exploratory, Conceptual clarification, Mathematical reasoning

Approaches and Questions Raised

  • Participants discuss the difficulties of evaluating the integral directly due to issues with the function's derivative. There are mentions of power series and Taylor series, with questions about convergence and the proper use of dummy variables in integrals. Some participants also reflect on the limitations of series for calculating definite integrals.

Discussion Status

The conversation is ongoing, with various perspectives being shared. Some participants express appreciation for insights provided, while others continue to explore the mathematical nuances and potential pitfalls of using series for integration.

Contextual Notes

There are indications of confusion regarding the application of series to definite integrals, as well as concerns about the correctness of certain equations presented in the discussion.

fazekasgergely
Messages
3
Reaction score
0
Homework Statement
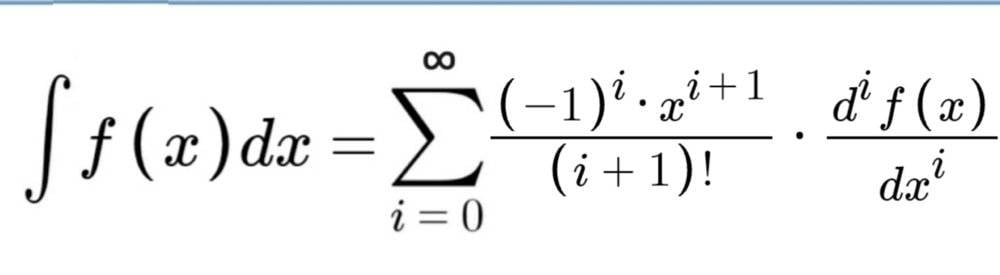
I've been doing maths for fun (I've only learned calculus 1 in university yet, but I love experimenting) and I've found the formula for integration by parts can be generalized as an infinite series.
Relevant Equations
I'm not well educated in infinite series, this is an amateur attempt but it works in most cases. Can someone tell me if this is right? I know in most cases it only makes things more complicated. I've tried it with simpler functions and it seems to work, more complicated ones are sometimes a problem. Here d^0/dx^0 f(x)=f(x)
For example integral of f(x)=sqrt(1-x^2) from 0 to 1 is a problem, since the derivative of the function is -x/sqrt(1-x^2) so putting in 1 in the place of x ruins the whole thing.
 

Attachments

  • 20190430_084239.jpg
    20190430_084239.jpg
    15.1 KB · Views: 355
Physics news on Phys.org
The study of power series (Taylor series) is central to the subject of complex analysis. The issues of convergence, derivatives, and integrals are handled in detail there. You might be interested in that subject.
Your equation seems to have some problems. For one, the variable x inside the integral on the left is a dummy variable, but not on the right. Also, consider the series for the exponential function. The integral is the exponential function again and it does not have the alternating sign that your equation has.
 
Thank you for your answer! It's good to read the opinion of someone who is more educated than myself. For now I'm just an enthusiast who enjoys experimenting with maths :)
 
I've found if you plug in e^x the series gives you e^x-1, and by definition integral of e^x is e^x+C, so the derivative of e^x-1 is still e^x. But the series is not great for calculating definite integral, the results will be false. It works for some functions though.
 

Similar threads

  • · Replies 1 ·
Replies
1
Views
2K
  • · Replies 105 ·
4
Replies
105
Views
11K
  • · Replies 3 ·
Replies
3
Views
2K
  • · Replies 12 ·
Replies
12
Views
2K
Replies
3
Views
2K
  • · Replies 10 ·
Replies
10
Views
2K
  • · Replies 9 ·
Replies
9
Views
3K
  • · Replies 4 ·
Replies
4
Views
2K
Replies
2
Views
3K
  • · Replies 14 ·
Replies
14
Views
2K