Integral of sin(x) sin(x+1) dx from 0 to 2pi.

  • Thread starter Thread starter s3a
  • Start date Start date
  • Tags Tags
    Dx Integral
Click For Summary

Homework Help Overview

The discussion revolves around the integral of sin(x) sin(x+1) from 0 to 2π. Participants are exploring various methods to approach the problem, including integration by parts and trigonometric identities.

Discussion Character

  • Exploratory, Conceptual clarification, Mathematical reasoning

Approaches and Questions Raised

  • Some participants discuss the challenges faced with integration by parts, noting a recurring issue with arriving at a nonsensical equation. Others suggest using trigonometric identities to simplify the integral.

Discussion Status

Several participants have provided hints and alternative approaches, including the use of trigonometric identities to express the product of sine functions. There is an ongoing exploration of different methods without a clear consensus on the best approach.

Contextual Notes

Some participants mention difficulties with the readability of shared work and the importance of including limits in the integral. There is also a note about the potential for misunderstanding when dropping constants of integration during the process.

s3a
Messages
828
Reaction score
8

Homework Statement


Integral of sin(x) sin(x+1) dx from 0 to 2pi.

Homework Equations


Integration by parts: Integral u dv = uv – Integral v du

The Attempt at a Solution


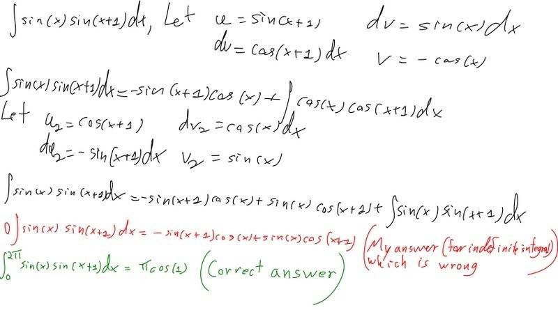
My work has been attached as MyWork.jpg. I, basically, get 0 * integral_I_started_with = something_else instead of nonzero_constant * integral_I_started_with = something_else and, given that I've done this problem a multitude of times and failed (if I remember correctly, always with the same issue) and, I was hoping someone here could point out my mistake.

Any input would be greatly appreciated!
 

Attachments

  • MyWork.jpg
    MyWork.jpg
    36.5 KB · Views: 3,960
Physics news on Phys.org
s3a said:

Homework Statement


Integral of sin(x) sin(x+1) dx from 0 to 2pi.

Homework Equations


Integration by parts: Integral u dv = uv – Integral v du

The Attempt at a Solution


My work has been attached as MyWork.jpg. I, basically, get 0 * integral_I_started_with = something_else instead of nonzero_constant * integral_I_started_with = something_else and, given that I've done this problem a multitude of times and failed (if I remember correctly, always with the same issue) and, I was hoping someone here could point out my mistake.

Any input would be greatly appreciated!

Try a different approach. There's a trig formula that will let you express sin(A)sin(B) as a sum of simple trig functions. Can you find it?
 
s3a said:

Homework Statement


Integral of sin(x) sin(x+1) dx from 0 to 2pi.

Homework Equations


Integration by parts: Integral u dv = uv – Integral v du

The Attempt at a Solution


My work has been attached as MyWork.jpg. I, basically, get 0 * integral_I_started_with = something_else instead of nonzero_constant * integral_I_started_with = something_else and, given that I've done this problem a multitude of times and failed (if I remember correctly, always with the same issue) and, I was hoping someone here could point out my mistake.

Any input would be greatly appreciated!

That image is difficult to read and in any case you didn't put in the limits. But integration by parts isn't what you want to do anyway. Use the formula$$
\sin a \sin b =\frac 1 2 (\cos(a-b)-\cos(a+b))$$
 
Your double integration by parts yielded
[tex]\int \sin(x)\sin(x+1)dx = -\sin(x+1)\cos(x) + \cos(x+1)\sin(x) + \int \sin(x)\sin(x+1)dx[/tex]
(This is the line just before the line that is colored red.) Subtract the integral from both sides and you get
[tex]0 = -\sin(x+1)\cos(x) + \cos(x+1)\sin(x)[/tex]
One may rightfully ask, what gives?

Look at the right hand side, ##-\sin(x+1)\cos(x) + \cos(x+1)\sin(x)##. This is ##\sin(x-(x+1))##, or ##\sin(1)##. So now we have the even more nonsensical ##\sin(1)=0##, which obviously is not true.

What happened is that you dropped a constant of integration. That supposedly nonsensical ##\sin(1)=0## is better stated as ##\sin(1) = c##. Instead of reaching a contradiction you've reached a tautology.

Bottom line: That's Just one of those things you need to be aware of when you do integration by parts.


Here's a hint that will help you solve this integral: Use the trick that x-x=0.
With this, cos(a) = cos(a+x-x) = cos((a+x)-x) = cos(a+x)cos(x) + sin(a+x)sin(x).
Now substitute a=1.
 
Thanks, guys!
 
An alternative approach.
Let
$$I=\int_{0}^{2\pi} \sin(x)\cdot\sin(x+1)dx $$

The integral is equivalent to
$$I=\int_{0}^{2\pi} \sin(2\pi-x)\cdot \sin(2\pi-(x-1))dx=\int_0^{2\pi} \sin(x)\cdot\sin(x-1)dx$$

Add the two expressions to get,
$$2I=\int_0^{2\pi} \sin(x)(\sin(x+1)+\sin(x-1))dx$$
Use ##\sin(A)+\sin(B)=2\sin((A+B)/2)\cos((A-B)/2)## to obtain,
$$2I=\int_0^{2\pi} \sin(x)(2\sin(x)\cos(1))dx \Rightarrow I=\cos(1)\int_0^{2\pi} \sin^2x dx$$

From the formula, ##\cos(2x)=1-2\sin^2x##, the integral can be easily evaluated.

I hope that helped.
 
Pranav-Arora said:
An alternative approach.
Let
$$I=\int_{0}^{2\pi} \sin(x)\cdot\sin(x+1)dx $$

The integral is equivalent to
$$I=\int_{0}^{2\pi} \sin(2\pi-x)\cdot \sin(2\pi-(x-1))dx=\int_0^{2\pi} \sin(x)\cdot\sin(x-1)dx$$

Add the two expressions to get,
$$2I=\int_0^{2\pi} \sin(x)(\sin(x+1)+\sin(x-1))dx$$
Use ##\sin(A)+\sin(B)=2\sin((A+B)/2)\cos((A-B)/2)## to obtain,
$$2I=\int_0^{2\pi} \sin(x)(2\sin(x)\cos(1))dx \Rightarrow I=\cos(1)\int_0^{2\pi} \sin^2x dx$$

From the formula, ##\cos(2x)=1-2\sin^2x##, the integral can be easily evaluated.

I hope that helped.

This problem could have been solved with much more ease, if you multiply the integral and divide by 2 and then isolate 1/2 out. Then apply formula 2sinAsinB=cos(A-B)-cos(A+B).

I know its too late to post here though.

Edit: Excellent hint given by LC Kurtz and Dick.
 

Similar threads

  • · Replies 5 ·
Replies
5
Views
3K
Replies
3
Views
2K
Replies
3
Views
2K
  • · Replies 1 ·
Replies
1
Views
2K
Replies
7
Views
3K
  • · Replies 5 ·
Replies
5
Views
3K
  • · Replies 11 ·
Replies
11
Views
2K
Replies
9
Views
2K
Replies
3
Views
2K
  • · Replies 54 ·
2
Replies
54
Views
17K