Integrating Partial Fractions with a Twist: (x + 3) vs (x - 3)

Click For Summary

Homework Help Overview

The discussion revolves around integrating partial fractions, specifically comparing the expressions involving (x + 3) and (x - 3) in the context of limits of integration and potential mistakes in earlier steps.

Discussion Character

  • Exploratory, Assumption checking, Problem interpretation

Approaches and Questions Raised

  • Participants are questioning the validity of the terms in the integration process, particularly the treatment of the term with ##\frac 1 {x - 3}## and the limits of integration at ##x = 3##. There are concerns about earlier mistakes affecting the fractions and the appropriateness of the denominator used in the second integral.

Discussion Status

The discussion is active with participants raising questions about the setup and limits of the problem. Some guidance has been offered regarding the implications of using different denominators, but no consensus has been reached on the correctness of the initial setup or the integration process.

Contextual Notes

There are indications that the problem may involve constraints related to the limits of integration, particularly at points where the function becomes undefined, such as ln(0) and ln|-1|. Participants are exploring these issues without resolving them.

maxim07
Messages
53
Reaction score
8
Homework Statement
Question states that integral of given partial fraction is supposed to equal ln(2/sqrt(3)), but I have tried it and it does not seem to. I believe I have integrated correctly, but maybe it can be simplified in such a way to become ln(2/sqrt(2))
Relevant Equations
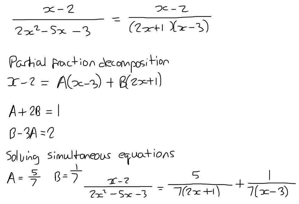
Partial fraction to integrate = 5/7(2x+1) + 1/7(x-3)
BA7B67FF-82D5-4E6A-9ADA-D5F9C75ACAD2.jpeg
 
Physics news on Phys.org
What happened to the term with ##\frac 1 {x - 3}##?

Are you sure there isn't an earlier mistake that led to those fractions?
 
This is how I go the reactions -pretty sure it’s right
C490592A-7A97-44F8-B669-B4ECA3DDC9A7.jpeg
 
The second term is problem with those limits of integration - in particular at ##x = 3##. You can't make that go away.
 
  • Like
Likes   Reactions: docnet
the denominator of your second integral is (x + 3) not (x - 3) as in the question. The version with (x + 3) is closer to ln(2/sqrt(3) but still differs by about 2.4 x 10^-3.

using (x - 3) does not work since using the limits given the term becomes ln|-1| and ln(0) so maybe there is something wrong with the question
 

Similar threads

  • · Replies 16 ·
Replies
16
Views
3K
  • · Replies 8 ·
Replies
8
Views
2K
  • · Replies 1 ·
Replies
1
Views
1K
  • · Replies 6 ·
Replies
6
Views
1K
Replies
9
Views
3K
  • · Replies 4 ·
Replies
4
Views
2K
  • · Replies 6 ·
Replies
6
Views
2K
  • · Replies 8 ·
Replies
8
Views
1K
  • · Replies 1 ·
Replies
1
Views
2K
  • · Replies 6 ·
Replies
6
Views
2K