Klein-Gordon: Schwarzschild Metric, Physically Acceptable?

Click For Summary

Discussion Overview

The discussion revolves around the physical acceptability of solutions derived from the Klein-Gordon equation when applied to the Schwarzschild metric. Participants explore whether these solutions can be realized in a physical context, considering the implications of gravitational interactions.

Discussion Character

  • Exploratory, Technical explanation, Debate/contested

Main Points Raised

  • One participant questions whether the solutions obtained from the Klein-Gordon equation using the Schwarzschild metric are physically acceptable.
  • Another participant asserts that the solutions are indeed physically realizable, although the reasoning behind this is not fully elaborated.
  • A moderator moves the thread to a more appropriate forum for relativity discussions.
  • Context is requested to clarify the initial question regarding the physical realizability of solutions derived from the equation.
  • One participant explains that the Klein-Gordon equation describes wave propagation for massive fields without non-gravitational interactions, suggesting that if the assumptions of general relativity and the existence of a massive field hold, then the solutions can be considered acceptable.
  • Another participant seeks clarification on whether the absence of non-gravitational interactions implies that the solutions are valid solely for wave-like phenomena in a gravitational context.
  • A follow-up response indicates that the previous statement should also account for the absence of a field, suggesting a nuanced understanding of the conditions under which the solutions may be valid.

Areas of Agreement / Disagreement

There is no clear consensus on the physical acceptability of the solutions derived from the Klein-Gordon equation in the context of the Schwarzschild metric. Multiple viewpoints are presented, and the discussion remains unresolved.

Contextual Notes

Participants highlight the importance of assumptions regarding gravitational interactions and the nature of the fields involved, but these assumptions remain unexamined in detail.

Vitani1
Messages
51
Reaction score
9
Does this give solutions which are physically acceptable?
 
Physics news on Phys.org
Yes.
 
  • Like
Likes   Reactions: Vitani1 and vanhees71
Moderator's note: Moved thread to relativity forum.
 
A bit of context could help.
 
  • Like
Likes   Reactions: vanhees71
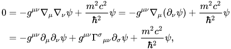
If you use the Schwarzschild metric in the Klein-Gordon equation (see attached) and derive the equation for the particle as a function of its position in time and space, do you get physically realizable solutions? This is my question.
 

Attachments

  • download.png
    download.png
    3.5 KB · Views: 227
Understand that the Klein-Gordon equation encodes the propagation of waves for massive fields in the absence of non-gravitational interactions with the field. If you can physically realize those assumptions (and GR) and you can physically realize a massive (including special case m=0) field. Thus: "Yes."

Failure to satisfy K-G is failure to conserve local momentum-energy. That's not impossible, the system can be "bleeding" momentum-energy into or out of some other field via interaction but one must assume it may also not do so.
 
When you say absence of non-gravitational interactions within the field you mean to say that solving this for the Schwarzschild is effective in explaining wave-like phenomena in the presence of gravity exclusively?
 
I meant to include in the previous post the presence of gravity or the absence of a field.
 

Similar threads

  • · Replies 9 ·
Replies
9
Views
2K
  • · Replies 8 ·
Replies
8
Views
2K
  • · Replies 4 ·
Replies
4
Views
2K
  • · Replies 9 ·
Replies
9
Views
4K
  • · Replies 4 ·
Replies
4
Views
2K
  • · Replies 28 ·
Replies
28
Views
1K
  • · Replies 13 ·
Replies
13
Views
2K
  • · Replies 3 ·
Replies
3
Views
1K
  • · Replies 50 ·
2
Replies
50
Views
4K
  • · Replies 6 ·
Replies
6
Views
2K