Lagrange method to find extremes

  • Thread starter Thread starter LCSphysicist
  • Start date Start date
  • Tags Tags
    Lagrange Method
Click For Summary

Homework Help Overview

The discussion revolves around finding the extrema of the function ƒ(x,y) = 3x + y subject to the constraint x² + 2y² ≤ 1 using the Lagrange method. Participants are exploring the implications of the inequality constraint on identifying both maximum and minimum values.

Discussion Character

  • Exploratory, Assumption checking, Problem interpretation

Approaches and Questions Raised

  • Participants discuss the conditions under which the extrema can be found, considering cases where the inequality is strict versus exact. There is also a focus on the implications of the gradient not being zero and how that affects the use of Lagrange multipliers.

Discussion Status

The conversation is active with participants questioning the clarity of the problem setup and the validity of solutions found. Some guidance has been offered regarding the use of Lagrange multipliers, and there is an acknowledgment of potential errors in the reference material being used.

Contextual Notes

There is mention of a possible typo in the book referenced by one participant, and the need for clarity in the problem's visual representation is noted. The discussion also highlights the challenge of working with the inequality constraint in the context of finding extrema.

LCSphysicist
Messages
644
Reaction score
163
Homework Statement
Study the function's maximum and minimum
Relevant Equations
All below.
1597146354939.png

ƒ(x,y) = 3x + y
x² + 2y² ≤ 1

It is easy to find the maximum, the really problem is find the minimum, here is the system:

(3,1) = λ(2x,4y)
x² + 2y² ≤ 1

how to deal with the inequality?
 
Physics news on Phys.org
Sorry, I find the picture a little unclear. f(x,y)=3x+y is the function you're maximizing/minimizing, and ##x^2+2y^2\leq1## is the region of the plane you're doing it in?

The extrema all are in one of two states:
1.) The inequality is strict. In that case there's no boundary condition, and the gradient needs to just be zero.

2.) The inequality is exact. In that case you can use Lagrange multipliers to figure out where the extrema are.

I think you need to just solve these two cases separately.
 
  • Like
Likes   Reactions: LCSphysicist
Office_Shredder said:
Sorry, I find the picture a little unclear. f(x,y)=3x+y is the function you're maximizing/minimizing, and ##x^2+2y^2\leq1## is the region of the plane you're doing it in?

The extrema all are in one of two states:
1.) The inequality is strict. In that case there's no boundary condition, and the gradient needs to just be zero.

2.) The inequality is exact. In that case you can use Lagrange multipliers to figure out where the extrema are.

I think you need to just solve these two cases separately.
The gradients i found can never be zero, that is:

∇ƒ = (3,1,0)
so what to do?

I though wrongly that it would be, for example, (0,0) the minimum, but we can find to (-1,0) and so f = -3.
 
If the gradient is never zero, then all the extrema must be where the inequality is an equality, and you can use Lagrange multipliers.
 
  • Informative
Likes   Reactions: LCSphysicist
Office_Shredder said:
If the gradient is never zero, then all the extrema must be where the inequality is an equality, and you can use Lagrange multipliers.
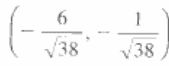
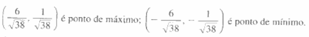
Okay, that's good to know, i found:

1597336861797.png


the book:

1597336589759.png

but (-6/√38,-6/√38) don't satisfy!
(-6/√38)² + 2*(-6/√38)² ≤ 1

Maybe am i right?
 

Attachments

  • 1597336469028.png
    1597336469028.png
    3.8 KB · Views: 181
  • 1597336493633.png
    1597336493633.png
    1.2 KB · Views: 196
  • 1597336571310.png
    1597336571310.png
    1.2 KB · Views: 186
I think you got it right, and the book has a typo.
 
  • Like
Likes   Reactions: LCSphysicist

Similar threads

  • · Replies 6 ·
Replies
6
Views
2K
  • · Replies 18 ·
Replies
18
Views
3K
  • · Replies 2 ·
Replies
2
Views
2K
  • · Replies 8 ·
Replies
8
Views
2K
  • · Replies 16 ·
Replies
16
Views
3K
Replies
5
Views
3K
  • · Replies 9 ·
Replies
9
Views
2K
  • · Replies 10 ·
Replies
10
Views
2K
  • · Replies 8 ·
Replies
8
Views
2K
  • · Replies 24 ·
Replies
24
Views
3K