Matrix representation for closed-form expression for Fibonacci numbers

Click For Summary
SUMMARY

The matrix representation for the closed-form expression of Fibonacci numbers is defined as (1 1; 1 0)^n = (F_{n+1} F_n; F_n F_{n-1}), applicable when F_0 = 0 and F_1 = 1. To adapt this for arbitrary starting values, such as F_0 = a and F_1 = b, the initial matrix should be (a+b b; b a). This matrix can be derived by multiplying the standard Fibonacci matrix repeatedly on the left by (1 1; 1 0).

PREREQUISITES
  • Understanding of Fibonacci sequence and its properties
  • Familiarity with matrix multiplication
  • Basic knowledge of linear algebra concepts
  • Experience with mathematical notation and expressions
NEXT STEPS
  • Research matrix exponentiation techniques for efficient Fibonacci computation
  • Explore the implications of different initial conditions on Fibonacci sequences
  • Learn about eigenvalues and eigenvectors in relation to matrix representations
  • Investigate applications of Fibonacci numbers in computer science and algorithms
USEFUL FOR

Mathematicians, computer scientists, and software developers interested in advanced Fibonacci number computations and matrix algebra applications.

murshid_islam
Messages
468
Reaction score
21
TL;DR
Matrix representation for closed-form expression for Fibonacci numbers:
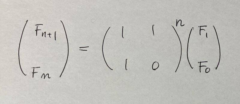
From the wikipedia page for Fibonacci numbers, I got that the matrix representation for closed-form expression for Fibonacci numbers is:

[tex]\begin{pmatrix}<br /> 1 & 1 \\<br /> 1 & 0\\<br /> \end{pmatrix} ^ n =<br /> \begin{pmatrix}<br /> F_{n+1} & F_n \\<br /> F_n & F_{n-1}\\<br /> \end{pmatrix}[/tex]

That only works when [itex]F_0 = 0[/itex] and [itex]F_1 = 1[/itex]. How can I find the matrix representation for arbitrary starting values, for example, when [itex]F_0 = a[/itex] and [itex]F_1 = b[/itex]?
 
Physics news on Phys.org
murshid_islam said:
Summary:: Matrix representation for closed-form expression for Fibonacci numbers:

From the wikipedia page for Fibonacci numbers, I got that the matrix representation for closed-form expression for Fibonacci numbers is:

[tex]\begin{pmatrix}<br /> 1 & 1 \\<br /> 1 & 0\\<br /> \end{pmatrix} ^ n =<br /> \begin{pmatrix}<br /> F_{n+1} & F_n \\<br /> F_n & F_{n-1}\\<br /> \end{pmatrix}[/tex]

That only works when [itex]F_0 = 0[/itex] and [itex]F_1 = 1[/itex]. How can I find the matrix representation for arbitrary starting values, for example, when [itex]F_0 = a[/itex] and [itex]F_1 = b[/itex]?
Start with
[tex]\begin{pmatrix}<br /> a+b & b \\<br /> b & a\\<br /> \end{pmatrix} =<br /> <br /> \begin{pmatrix}<br /> F_2 & F_1 \\<br /> F_1 & F_0\\<br /> \end{pmatrix}[/tex]

Then multiply repeatedly on the left by
[tex]\begin{pmatrix}<br /> 1 & 1 \\<br /> 1 & 0\\<br /> \end{pmatrix} [/tex]
 
  • Like
Likes   Reactions: PeroK and murshid_islam
Though same as post #2,
2022-05-10 14.01.44.jpg
 
  • Like
Likes   Reactions: martinbn and murshid_islam

Similar threads

  • · Replies 8 ·
Replies
8
Views
3K
  • · Replies 34 ·
2
Replies
34
Views
3K
  • · Replies 8 ·
Replies
8
Views
3K
  • · Replies 2 ·
Replies
2
Views
2K
  • · Replies 1 ·
Replies
1
Views
2K
  • · Replies 1 ·
Replies
1
Views
2K
  • · Replies 4 ·
Replies
4
Views
3K
  • · Replies 12 ·
Replies
12
Views
2K
  • · Replies 1 ·
Replies
1
Views
1K
  • · Replies 4 ·
Replies
4
Views
2K