Molecular speed distribution - most probable speed V

Click For Summary

Homework Help Overview

The discussion revolves around calculating the temperature of helium gas using the most probable speed of atoms. Participants are exploring the relationship between temperature, atomic mass, and the ideal gas law, while addressing unit conversions and the correct application of formulas.

Discussion Character

  • Exploratory, Conceptual clarification, Mathematical reasoning, Assumption checking

Approaches and Questions Raised

  • Participants discuss the formula for temperature in relation to the most probable speed and question the computation of mass for helium atoms. There are inquiries about the correct use of units and whether to use the total mass of gas or the mass of a single atom in calculations. Some participants suggest clarifying the problem statement and ensuring all necessary values are provided.

Discussion Status

The discussion is active, with participants providing guidance on the importance of using the correct mass and units. There is a focus on ensuring that the complete problem statement is shared for clarity. Some participants have offered corrections and suggestions for approaching the calculations, but consensus on the method has not been reached.

Contextual Notes

Participants note the importance of quoting units accurately and the need for additional information, such as the most probable speed and the complete problem statement, to proceed effectively. There is also mention of the volume of gas and its role in the calculations.

greg997
Messages
105
Reaction score
2
Homework Statement
Finding Temperatur T and Pressure of gas in container given N= number of atoms of hellium and distribution V most probable.
Relevant Equations
Vmp= sqrt(2kT/m)
Can someone explain to me what I am doing wrong? Trying to calculate the Temperature T using this formula

I am trying to find T using most probable speed of atoms formula.
T = (V^2) m/( 2k) I am getting riduculous T like 20x10^27. Why?

If number of atoms N= 2x10^24 how do i get mass m? each hellium atom has 4 amu.
What i get is this : 2x10^24 x 4 = 8x10^24 amu
then 8x10^24 x 1.66x 10^-27 = 13.28x10^-3= m
is that correct?
 
Physics news on Phys.org
It is unclear to me hiw you are computing T as you have not provided details here. Regarding your mass computation, please make sure to quote the appropriate units everywhere. You are probably using units of kg, but it is not very clear (and technically incorrect) to not quote the units.

Edit: Are you using the mass of the entire helium gas when computing T? The mass that goes into the formula is the atomic mass, not the mass of the entire gas.
 
Hello,
1711198057549.png
 
No. See the edit of #2.
 
Hmm... so what do i do with N- number of atoms? Yes, that was my intention. total mass of gas.
Should I just then make m=4 to find T since helium is 4 amu?
 
You cannot use the number of atoms to find the mass of one atom. You are not given the total mass of the gas, are you? You are told that the gas is helium and this is how you find the molar mass or the mass of an atom, whicever you want to use.
But you will need the volume of the gas in order to find the pressure. Is the text in the OP the full text of the problem?
 
greg997 said:
Should I just then make m=4 to find T since helium is 4 amu?
m = 4 amu

Remember, units are important!
 
So the formula for that T, m is just mass of one atom? For helium 4 amu? Not total mass?
If that is the case , can i get correct pressure P from ideal gas formula? PV= nRT? I am given Volume, so I need to calculate n- number of moles. Is that correct?
 
@greg997, to add to what's already been said...

##m## is the mass of a single helium atom (in kg if you're working in SI units).

You don't need the total number of atoms, N, to find the temperature. But you will need it to find the pressure.

You haven't given the values of the most probable velocity and the volume. The guidelines here say you should 'Reproduce the problem statement accurately'. That means the complete problem, word-for-word. It makes the whole process much simpler/smooother. See https://www.physicsforums.com/threads/homework-help-guidelines-for-students-and-helpers.686781/
 
  • Like
Likes   Reactions: Orodruin
  • #10
1711208639566.png


Apologies. I am given Volume V= 0. 707m^3

Is may calculation correct? How do i get Temp T in kelvin? I multipled 4 amu by 1.66x10^-27. Is that correct?
 
  • #11
greg997 said:
Apologies. I am given Volume V= 0. 707m^3
You still haven't told us the given value for the most probable speed (I.e. you still haven't provided the complete question!!!)

greg997 said:
Is may calculation correct? How do i get Temp T in kelvin? I multipled 4 amu by 1.66x10^-27. Is that correct?
You have a volume of ##0.5m^3## in your formula. Where is that from?
The most probable speed should appear in your formula - it doesn't.
So I would say the formula is incorrect.

To convert 4amu to kg you multiply it by ##1.66 \times 10^{-27}## kg/amu. So yes, that part is correct.

Edit: Note that 'amu' is old-fashioned. You should really use 'u' or 'Da' (dalton).
Edit 2: typo's
 
Last edited:
  • #12
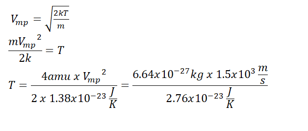
Apologies. I messed up with the formula above.
The Volume V = 0.5 m^3
And the most probable speed Vmp = 1.5x10^3m/s.
So how to I get T in Kelvin? None of the units cancel so whatever is left we call it Kelvin then?
Once i got T I should use ideal gas formula to find pressure P?
1711211461574.png
 

Attachments

  • 1711211336356.png
    1711211336356.png
    5.4 KB · Views: 106
  • #13
greg997 said:
Apologies. I messed up with the formula above.
The Volume V = 0.5 m^3
And the most probable speed Vmp = 1.5x10^3m/s.
So how to I get T in Kelvin? None of the units cancel so whatever is left we call it Kelvin then?
Once i got T I should use ideal gas formula to find pressure P?
View attachment 342219
You have forgotten to square the most probable speed.

All your quantities are SI. So if you do the calculation (with correct values!) the answer will automatically be in kelvin (upper-case 'K' for the symbol, lower-case 'kelvin' for the full name).

If you want to confirm that you have the units correct, you can express a joule in terms of kg, m and s. A joule is a derived unit (a combination of base units).
 
  • #14
fantastic. Thank you for your explanation and support
 
  • Like
Likes   Reactions: Steve4Physics

Similar threads

  • · Replies 10 ·
Replies
10
Views
5K
  • · Replies 5 ·
Replies
5
Views
1K
  • · Replies 9 ·
Replies
9
Views
3K
  • · Replies 21 ·
Replies
21
Views
3K
  • · Replies 1 ·
Replies
1
Views
2K
  • · Replies 5 ·
Replies
5
Views
3K
  • · Replies 6 ·
Replies
6
Views
3K
  • · Replies 7 ·
Replies
7
Views
2K
  • · Replies 46 ·
2
Replies
46
Views
4K
  • · Replies 11 ·
Replies
11
Views
2K