Moment of inertia avoid double integral?

Click For Summary

Discussion Overview

The discussion revolves around determining the moment of inertia of a shaded area about the x-axis, exploring different integration methods and addressing discrepancies in results obtained from various approaches. Participants engage in technical reasoning and mathematical exploration related to the calculation of the moment of inertia.

Discussion Character

  • Homework-related
  • Mathematical reasoning
  • Debate/contested

Main Points Raised

  • One participant proposes using a rectangular element and symmetry to calculate the moment of inertia, but encounters a discrepancy in results.
  • Another participant suggests that the integral is messy and errors are easy to make, indicating that the method can work if applied correctly.
  • Concerns are raised about the correctness of a standard integral provided in a textbook, with references to different forms of the integral yielding different results.
  • Participants discuss the relationship between different forms of integrals involving arcsin and arctan, suggesting they may be equivalent under certain conditions.
  • There is a request for clarification on whether a specific integral simplifies to a particular form, indicating uncertainty about the simplification process.
  • One participant emphasizes the importance of checking calculations for small errors that could lead to incorrect conclusions.

Areas of Agreement / Disagreement

Participants express differing views on the correctness of the integral solutions and the methods used to derive them. There is no consensus on the resolution of the discrepancies, and the discussion remains unresolved regarding the simplification of the integral.

Contextual Notes

Participants mention potential errors in calculations, missing parentheses, and the complexity of the integrals involved, which may affect the results. The discussion highlights the need for careful verification of each step in the integration process.

Who May Find This Useful

This discussion may be useful for students and practitioners interested in the calculation of moments of inertia, integration techniques, and the resolution of discrepancies in mathematical results.

Pascal1p
Messages
28
Reaction score
0

Homework Statement


proxy.php?image=http%3A%2F%2Fi.stack.imgur.com%2FsqZ9I.jpg

Determine the moment of inertia of the shaded area about the x-axis.

Homework Equations


I(x)= y^2dA

The Attempt at a Solution


In order to determine the moment of inertia of the shaded area about the x-axis I first looked at the portion above the x-axis, integrate it with a small rectangular element and then because of the symmetry I would multiply it with 2. So:
3x8ze.png
mFGRzXL.png


Yet if I integrate that with those limits and then multiply it with 2 and insert B= a/2
I do not get (a-sin (a))(r^4)/8. The answer I would get if I just use ∫∫((r*sinθ)^2)rdθdr. Which is the correct answer.

But why doesn't it work?
 
Physics news on Phys.org
Pascal1p said:
But why doesn't it work?
It does. I checked. It's just that the integral is messy, so it's easy to make an error somewhere along the way.
Start with this, then apply that indefinite integral formula at the integration limits. The trick that cleans it up a lot is that
$$\tan^{-1}\left(\frac{R\sin\theta}{\sqrt{R^2-(R\sin \theta)^2)}}\right)=\theta$$
 
andrewkirk said:
It does. I checked. It's just that the integral is messy, so it's easy to make an error somewhere along the way.
Start with this, then apply that indefinite integral formula at the integration limits. The trick that cleans it up a lot is that
$$\tan^{-1}\left(\frac{R\sin\theta}{\sqrt{R^2-(R\sin \theta)^2)}}\right)=\theta$$

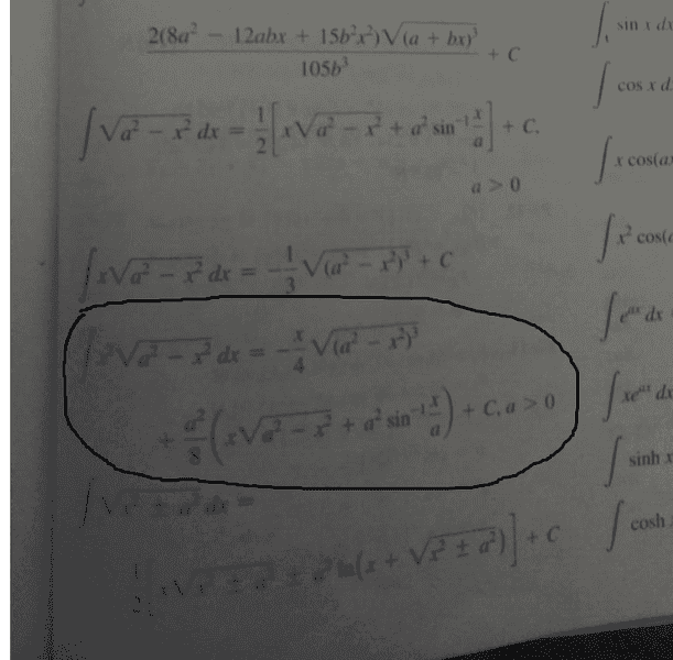
But where then does this inconsistency come from? My book gives some standard integrals and one of them was ∫x^2√(a^2-x^2)dx= -(x/4)√((a^2-x^2)^3)+ (a^2/8)(x√(a^2-x^2)+a^2sin^-1 (x/a) + C, a>0

The weird thing is that wolfram-alpha gives this long answer when you substitute 'a' with an actual number, like 9. But when you use just 'a' or substitute it with 'R', it gives a different form. The one with the tan^-1 which you just mentioned.

So I thought the answer you get when you use wolfram with y^2* sqrt(R^2-y^2) is wrong. That he might see R as something it is not, like a function related to y. Instead of the constant value that it is.

So why is -(x/4)√((a^2-x^2)^3)+ (a^2/8)(x√(a^2-x^2)+a^2sin^-1 (x/a) + C not the correct solution to the integral?
 
Pascal1p said:
The weird thing is that wolfram-alpha gives this long answer when you substitute 'a' with an actual number, like 9.
It didn't do that for me.

Pascal1p said:
So why is -(x/4)√((a^2-x^2)^3)+ (a^2/8)(x√(a^2-x^2)+a^2sin^-1 (x/a) + C not the correct solution to the integral?
Because when you differentiate it you do not get x^2√(a^2-x^2).
I did this by hand and it did not come out, and Wolfram Alpha agrees. Perhaps your text contains an error, or perhaps you have miscopied the formula.
 
andrewkirk said:
It didn't do that for me.

Because when you differentiate it you do not get x^2√(a^2-x^2).
I did this by hand and it did not come out, and Wolfram Alpha agrees. Perhaps your text contains an error, or perhaps you have miscopied the formula.

Well, the link you send, in which you said it did not do that for you. It also gives an arcsin and looked similair to what book give so I thought they were same without really checking.

I did miss a parenthesis in the end, but still what the book says does not seem the same.
vyxjkrW.png
 
Pascal1p said:
Well, the link you send, in which you said it did not do that for you. It also gives an arcsin
Recall your trig identities, in particular that ##\sin^{-1}\frac xa=\tan^{-1}\frac x{\sqrt{a^2-x^2}}##
and looked similair to what book give so I thought they were same without really checking.

I did miss a parenthesis in the end
Yes, and it was the missing parenthesis that led you to thinking the book suggested a different answer.
but still what the book says does not seem the same.
It is the same. A little algebra demonstrates that. Start by taking ##\sqrt{(a^2-x^2)^2}## out of the first term in the book and combining it with the second term (the first term in the big parenthesis on the next line).

The lesson to take from this is that if you have a messy calculation that you believe should come out to a particular result and it doesn't, set your work out in full detail and check every step for things like misplaced parentheses and wrong signs. One tiny error is all that's needed to make the whole thing fail.
 
andrewkirk said:
Recall your trig identities, in particular that ##\sin^{-1}\frac xa=\tan^{-1}\frac x{\sqrt{a^2-x^2}}##

Yes, and it was the missing parenthesis that led you to thinking the book suggested a different answer.
It is the same. A little algebra demonstrates that. Start by taking ##\sqrt{(a^2-x^2)^2}## out of the first term in the book and combining it with the second term (the first term in the big parenthesis on the next line).

The lesson to take from this is that if you have a messy calculation that you believe should come out to a particular result and it doesn't, set your work out in full detail and check every step for things like misplaced parentheses and wrong signs. One tiny error is all that's needed to make the whole thing fail.

Yeah you are right, I see now how the integral with sin^-1 and tan^-1 are the same. But so that whole integral 2∫(y^2√(R^2-y^2)+y^3/tan(a/2))dy with limits 0 to Rsin(a/2) will clean up to r^4/8(a-sin(a))? Because that I do not see.
 
Pascal1p said:
But so that whole integral 2∫(y^2√(R^2-y^2)+y^3/tan(a/2))dy with limits 0 to Rsin(a/2) will clean up to r^4/8(a-sin(a))? Because that I do not see.
Post your attempt to demonstrate this. Start by writing out the expression for the definite integral with the given limits. Then simplify. I or somebody else may help you if you get stuck. Using latex to make your formulas easy to read will greatly increase the chance of receiving help.
 
This is to where I have simplified it:
5nirwaE.jpg
 
  • #10
So how to simplify this further to r^4/8(a-sin(a))
 
  • #11
No one :(?
 

Similar threads

  • · Replies 5 ·
Replies
5
Views
3K
  • · Replies 6 ·
Replies
6
Views
2K
Replies
9
Views
9K
Replies
2
Views
2K
  • · Replies 7 ·
Replies
7
Views
3K
Replies
1
Views
8K
  • · Replies 18 ·
Replies
18
Views
4K
  • · Replies 1 ·
Replies
1
Views
4K
  • · Replies 4 ·
Replies
4
Views
3K
  • · Replies 3 ·
Replies
3
Views
4K