Net electric force of multiple charged particles in 3-d space

Click For Summary

Homework Help Overview

The discussion revolves around calculating the net electric force of multiple charged particles in three-dimensional space, focusing on the decomposition of force vectors into their components.

Discussion Character

  • Mathematical reasoning, Assumption checking, Exploratory

Approaches and Questions Raised

  • Participants discuss their calculations of force components, questioning the correctness of their results and the directions of the forces based on the charges of the particles. There are multiple attempts to redraw graphs and recalculate values, with some participants asking for detailed workings from others.

Discussion Status

Participants are actively sharing their calculations and seeking clarification on the direction of the forces. There is a recognition of the magnitude of the forces being discussed, but no consensus has been reached on the final values or their implications.

Contextual Notes

Some participants express uncertainty about their calculations and the assumptions regarding the signs of the force components, indicating potential confusion about the setup of the problem.

Edel Crine
Messages
89
Reaction score
12
Homework Statement
An xyz coordinate system contains three charged particles: particle 1, q1=-5.0 muC, at (4.0m,-2.0m,0); particle 2, q2=12 muC, at (1.0m, 2.0m, 0); and an electron at (-1.0m,0,0).
(a) Draw a diagram showing the vectors you need in order to determine the direction of the separate electric forces exerted on the electron by particles 1 and 2.
(b) Calculate the vector sum of these two forces.
Relevant Equations
f=k((q1*q2)/r^2)*unit vector r
I draw the graph like this:
234.png

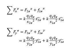
For (b), I divided each force vector to e from p1 and p2 as x and y parts.
1.png

I computed them and got
Fx=-4.608*10^(-15)N
Fy=-2.52*10^(-15)N

However, I am not sure whether I did it correctly or not...
I appreciate every help from all of you!
Thank you!
 

Attachments

  • 1.png
    1.png
    1.9 KB · Views: 186
  • 1.png
    1.png
    1.9 KB · Views: 189
Last edited:
Physics news on Phys.org
You missed out a chunk of your working, and I don't have time to check your final result right now, but I notice the directions of the arrows in your diagram. Are these intended to represent the directions in which the forces will act? Note that the two particles are oppositely charged.
 
  • Like
Likes   Reactions: Edel Crine
Just redraw the graph,
234.png

Then I got,
Fx=4.032*10^(-15)N
Fy=6.12*10^(-15)N
 
Edel Crine said:
Just redraw the graph,
View attachment 269790
Then I got,
Fx=4.032*10^(-15)N
Fy=6.12*10^(-15)N
I get somewhat smaller numbers. Please post your detailed working.
 
  • Like
Likes   Reactions: Edel Crine
haruspex said:
I get somewhat smaller numbers. Please post your detailed working.
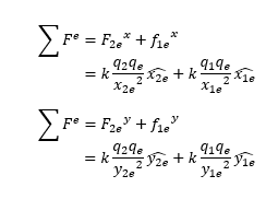
Just got new values:
Fx=1.297*10^(-15)N
Fy=1.620*10^(-15)N
2.png
 
Edel Crine said:
Just got new values:
Fx=1.297*10^(-15)N
Fy=1.620*10^(-15)N
View attachment 269793
Those numbers look about the right magnitude. What about direction?
 
  • Like
Likes   Reactions: Edel Crine
haruspex said:
Those numbers look about the right magnitude. What about direction?
You may have missed my edit re direction.
 
  • Like
Likes   Reactions: Edel Crine
haruspex said:
Those numbers look about right.
Your are the best teacher always! I appreciate all your help in my questions! I really hope you have a nice day!
 
haruspex said:
You may have missed my edit re direction.
You mean the arctan(Fy/Fx) maybe...?
 
  • #10
Edel Crine said:
You mean the arctan(Fy/Fx) maybe...?
No, I mean the signs on Fx and Fy.
 
  • Like
Likes   Reactions: Edel Crine
  • #11
I think I got
Fx= +1.297*10^(-15)N
Fy= +1.620*10^(-15)N
 
  • #12
Edel Crine said:
I think I got
Fx= +1.297*10^(-15)N
Fy= +1.620*10^(-15)N
Good.
 
  • Like
Likes   Reactions: Edel Crine
  • #13
haruspex said:
Good.
Again, thank you sooooooooo much!
 

Similar threads

Replies
14
Views
3K
Replies
17
Views
3K
  • · Replies 9 ·
Replies
9
Views
3K
  • · Replies 5 ·
Replies
5
Views
2K
Replies
5
Views
7K
  • · Replies 7 ·
Replies
7
Views
3K
  • · Replies 68 ·
3
Replies
68
Views
8K
  • · Replies 2 ·
Replies
2
Views
5K
Replies
3
Views
3K
  • · Replies 1 ·
Replies
1
Views
2K