Network function for an opamp circuit

Click For Summary

Homework Help Overview

The discussion revolves around finding the network function for an operational amplifier circuit, focusing on the relationships between voltages and impedances in the context of node equations and transfer functions.

Discussion Character

  • Exploratory, Conceptual clarification, Mathematical reasoning, Problem interpretation

Approaches and Questions Raised

  • Participants discuss the formulation of node equations, the role of source voltage, and the implications of impedance for capacitors versus inductors. Questions arise regarding the correct setup of equations and the inclusion of variables like ω in the final expressions.

Discussion Status

Participants are actively refining their equations and exploring the implications of their assumptions. Some have provided guidance on structuring node equations, while others are questioning the correctness of their expressions and the presence of ω in their results.

Contextual Notes

There is mention of confusion regarding the value of ω and the treatment of currents entering and exiting nodes, which may affect the formulation of the network function. Participants are also navigating the constraints of homework rules that may limit the information they can share.

Cocoleia
Messages
293
Reaction score
4

Homework Statement


upload_2017-3-13_16-48-23.png


Homework Equations

The Attempt at a Solution


upload_2017-3-13_16-51-46.png

upload_2017-3-13_16-52-23.png


I'm really unsure of what to do. I feel like Vs should not be equal to Vo. I am not sure if I have the right idea with the equations that I have written. I am confused because I don't know the value for omega. Can someone help ? Thanks.
 
Physics news on Phys.org
Write the node equation for node 1 (figure below) knowing that its potential is equal to that of the source voltage. Be careful with the impedance of the capacitor: What's the difference between the impedance formulas for a capacitor and an inductor?

upload_2017-3-13_17-21-44.png


Edit: By the way, the "network function", or "transfer function" is a function of ω, so it will remain as a variable in your result.
 
gneill said:
Write the node equation for node 1 (figure below) knowing that its potential is equal to that of the source voltage. Be careful with the impedance of the capacitor: What's the difference between the impedance formulas for a capacitor and an inductor?

View attachment 114505

Edit: By the way, the "network function", or "transfer function" is a function of ω, so it will remain as a variable in your result.
upload_2017-3-13_19-18-28.png

would this be the node equation, since the current going into the op amp is 0?
 
Cocoleia said:
View attachment 114507
would this be the node equation, since the current going into the op amp is 0?
You're right that the current going into the op-amp input is zero. But there are a couple of things wrong with your equation. In the third term you shouldn't have voltage in the denominator when all the other terms are divided by an impedance. The first term is written as a current flowing out of the node, so if the other terms are on the other side of the equals sign they must represent currents flowing into the node. That's not what the order of the voltages in the terms suggest.

To avoid errors by making the process automatic, a good approach is to always write a node equation as a sum of terms that sum to zero. That is, place all the terms on one side of the equals sign and a zero on the other. Choose one direction for the assumed current direction for all the terms, either all into the node or all out of the node, then write all the terms with that one assumption. The math will then take care of the details and you don't have to try to figure out ahead of time what the "real" current directions are.
 
gneill said:
You're right that the current going into the op-amp input is zero. But there are a couple of things wrong with your equation. In the third term you shouldn't have voltage in the denominator when all the other terms are divided by an impedance. The first term is written as a current flowing out of the node, so if the other terms are on the other side of the equals sign they must represent currents flowing into the node. That's not what the order of the voltages in the terms suggest.

To avoid errors by making the process automatic, a good approach is to always write a node equation as a sum of terms that sum to zero. That is, place all the terms on one side of the equals sign and a zero on the other. Choose one direction for the assumed current direction for all the terms, either all into the node or all out of the node, then write all the terms with that one assumption. The math will then take care of the details and you don't have to try to figure out ahead of time what the "real" current directions are.
upload_2017-3-13_19-53-32.png

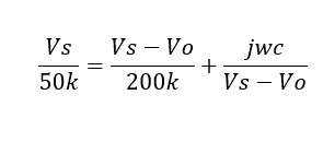
Would this be the node equation then? If I assume that the current is entering the node in all three directions. Since it would be Vs-Vo / (1/jwc) the the jwc comes to multiply on top ?
 
Cocoleia said:
View attachment 114509
Would this be the node equation then? If I assume that the current is entering the node in all three directions. Since it would be Vs-Vo / (1/jwc) the the jwc comes to multiply on top ?
Actually you've written it as all the currents flowing out of the node (the node is at potential Vs, so Vs - Vo would be for a current flowing from Vs to Vo). Looks good. Plug in the capacitor value and solve for Vo.
 
gneill said:
Actually you've written it as all the currents flowing out of the node (the node is at potential Vs, so Vs - Vo would be for a current flowing from Vs to Vo). Looks good. Plug in the capacitor value and solve for Vo.
Vo=0.2j+5Vs, now can I simply divide them to get the network function ?
 
Cocoleia said:
Vo=0.2j+5Vs, now can I simply divide them to get the network function ?
That doesn't look right. There should still be ω involved. Can you show more of your work?
 
gneill said:
That doesn't look right. There should still be ω involved. Can you show more of your work?
Sorry, ignore that it was completely wrong:

Vo=200kwj+5Vs
 
  • #10
Cocoleia said:
Sorry, ignore that it was completely wrong:

Vo=200kwj+5Vs
Nope. Show your work.
 
  • #11
gneill said:
Nope. Show your work.
upload_2017-3-13_20-45-55.png


Tried to revise it
 
  • #12
Much better! You could clear the decimal by multiplying top and bottom by 5:

##V_o = V_s \left( \frac{25 + jω}{5 + jω} \right)##

Now it just remains to form the transfer function H(ω) as described in the problem statement.Edit: Inadvertently wrote ##V_A## instead of ##V_s##. Fixed it.
 
  • #13
gneill said:
Much better! You could clear the decimal by multiplying top and bottom by 5:

##V_o = V_A \left( \frac{25 + jω}{5 + jω} \right)##

Now it just remains to form the transfer function H(ω) as described in the problem statement.
Ok, I do so by just dividing Vo/Vs. So in the end there is no more term with Vs ?
 
  • #14
Cocoleia said:
Ok, I do so by just dividing Vo/Vs. So in the end there is no more term with Vs ?
Right. H is the ratio of the output to the input and is a function of ω.
 
  • Like
Likes   Reactions: Cocoleia

Similar threads

Replies
1
Views
2K
  • · Replies 5 ·
Replies
5
Views
2K
  • · Replies 6 ·
Replies
6
Views
4K
  • · Replies 3 ·
Replies
3
Views
1K
  • · Replies 9 ·
Replies
9
Views
2K
  • · Replies 10 ·
Replies
10
Views
2K
Replies
3
Views
2K
  • · Replies 1 ·
Replies
1
Views
1K
  • · Replies 22 ·
Replies
22
Views
3K
Replies
15
Views
3K