Partial derivative of a multivariable integral?

Click For Summary
SUMMARY

The discussion focuses on calculating the partial derivatives of the integral function f(x,y) = ∫ (from 1 to xy) of e^(t^2)dt using Leibniz's rule. The user attempts to apply the formula but struggles with the correct application, particularly in differentiating the limits of integration and the function itself. The key takeaway is that while e^(t^2) does not have an elementary integral, the correct application of Leibniz's formula allows for the computation of the partial derivatives fx and fy. The final expressions derived include fx = 2xye^(x^2y^2) - 2e.

PREREQUISITES
  • Understanding of multivariable calculus
  • Familiarity with Leibniz's rule for differentiation under the integral sign
  • Knowledge of partial derivatives
  • Basic integration techniques, particularly with non-elementary functions
NEXT STEPS
  • Study the application of Leibniz's rule in various contexts
  • Explore the properties of non-elementary integrals, specifically e^(t^2)
  • Practice calculating partial derivatives of integral functions
  • Review examples of differentiating integrals with variable limits
USEFUL FOR

Students and professionals in mathematics, particularly those studying calculus and multivariable functions, as well as educators looking for examples of applying Leibniz's rule in practical scenarios.

Beamsbox
Messages
61
Reaction score
0

Homework Statement



Stumped.

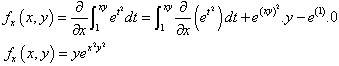
Integral: f(x,y) = ∫ (from 1 to xy) of e^(t^2)dt
find both fx and fy

The Attempt at a Solution



I've come up with:
fx(x,y)
= /∂x ∫ (from 1 to xy) of e^(t^2)dt

Not sure where to go... possibly take the integral, the take the partial derivative? I found a solution that moves the derivative into the integral. It just looks like magic to me... not sure what they did. Could someone please break it down for me?

attachment.php?attachmentid=40270&d=1319385838.jpg
 

Attachments

  • calculus integral.jpg
    calculus integral.jpg
    4.7 KB · Views: 1,442
Physics news on Phys.org
Leibniz's formula:
[tex]\frac{d}{dx}\int_{a(x)}^{b(x)} f(x,t)dt= \frac{db}{dx}f(x,b(x))- \frac{da}{dx}f(x,a(x))+ \int_{a(x)}^{b(x)}\frac{\partial f}{\partial x}dt[/tex]
For each partial derivative, treat the other variable as a constant of course.
Here, a(x)= 1, b(x)= xy, and [itex]f(x,y)= e^{t^2}[/itex] which does not depend on x or y so that last integral will be 0.

([itex]e^{t^2}[/itex] does not have an elementary integral so that is NOT the way to go!)
 
I remember from a problem I did a while back that the integral of e^{t^2} is not the way to go.

Here's my attempt at using the Liebnitz formula, but my answer is quite different, so perhaps I'm not using it correctly...

[tex]\frac{d}{dx}\int_{1}^{xy} e^{t^2}dt= \frac{d(xy)}{dx}f(x,xy) - \frac{d(1)}{dx}f(x,1)+ 0[/tex]
[tex]\frac{d}{dx}\int_{1}^{xy} e^{t^2}dt= \frac{d(xy)}{dx}e^{(xy)^2} - \frac{d(1)}{dx}e^{1^2}[/tex]
[tex]\frac{d}{dx}\int_{1}^{xy} e^{t^2}dt= 2xye^{(xy)^2} - 2(1)e[/tex]
[tex]\frac{d}{dx}\int_{1}^{xy} e^{t^2}dt= 2xye^{x^2y^2} - 2e[/tex]

I think my error might be in where I use say f(x,b(x)→f(x,xy)... I'm not sure how to do this. I just substituted xy for t, but that path doesn't seem to utilize the x component, just the t=xy component of the function. Not even sure if that makes sense.
 

Similar threads

  • · Replies 6 ·
Replies
6
Views
2K
  • · Replies 7 ·
Replies
7
Views
3K
Replies
9
Views
2K
Replies
3
Views
2K
  • · Replies 4 ·
Replies
4
Views
2K
  • · Replies 2 ·
Replies
2
Views
2K
Replies
4
Views
2K
Replies
10
Views
3K
  • · Replies 1 ·
Replies
1
Views
1K
  • · Replies 1 ·
Replies
1
Views
1K