Potential vector of a oscilating dipole:

Click For Summary
SUMMARY

The discussion focuses on deriving the electric potential of an oscillating dipole as presented in David Griffiths' "Introduction to Electrodynamics." The key equation discussed is the transformation of the gradient operator, specifically how to apply the chain rule to relate the time derivative of the dipole moment to spatial derivatives. The participants clarify that the expression for the gradient of the dipole's velocity involves the second time derivative of the dipole moment, denoted as ##\ddot{p}##, and the partial derivative of the retarded time ##t_0## with respect to spatial coordinates.

PREREQUISITES
  • Understanding of Griffiths' "Introduction to Electrodynamics" concepts
  • Familiarity with the chain rule in calculus
  • Knowledge of vector calculus, specifically gradient operations
  • Basic principles of electromagnetic theory related to dipoles
NEXT STEPS
  • Study the derivation of electric potentials in Griffiths' "Introduction to Electrodynamics"
  • Learn about the application of the chain rule in multivariable calculus
  • Explore vector calculus, focusing on gradient, divergence, and curl
  • Investigate the physical implications of oscillating dipoles in electromagnetic radiation
USEFUL FOR

Students of electromagnetism, physicists working with electromagnetic theory, and anyone seeking to deepen their understanding of oscillating dipoles and their mathematical representations.

LCSphysicist
Messages
644
Reaction score
163
Homework Statement
I.
Relevant Equations
.
I am passing through some difficulties to understand the reasoning to derive the electric potential of an oscilating dipole used by Griffths at his Electrodynamics book:
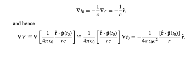
Knowing that ##t_o = t - r/c##,
Captura de tela de 2022-05-13 07-55-47.png

What exactly he has used here to go from the first term after "and hence" to the second term? (The one involving ##\ddot p##). Maybe ##\nabla = \nabla t_o \frac{d}{dt_o}## ? But this does not make sense.
 
Physics news on Phys.org
A straightforward, but somewhat tedious, method is to work in cartesian coordinates.

Consider the ##x##-component of ##\nabla \left[ \frac {\mathbf{\hat r} \cdot \mathbf{ \dot p}(t_0)}{r} \right]##:

$$\left(\nabla \left[ \frac {\mathbf{\hat r} \cdot \mathbf{ \dot p}(t_0)}{r} \right]\right)_x = \frac{\partial}{\partial x} \left[ \frac{x}{r^2} \dot p_x(t_0) + \frac{y}{r^2} \dot p_y(t_0) +\frac{z}{r^2} \dot p_z(t_0) \right]$$
Expand this out. You can drop terms that fall off faster than ##1/r##.

When calculating ##\large \frac{\partial \dot p_x(t_0)}{\partial x}##, recall that ##t_0 = t-r/c =t-\sqrt{x^2+y^2+z^2}/c##. So, you can use the chain rule to write $$ \frac{\partial \dot p_x(t_0)}{\partial x} = \frac{d \dot p_x}{dt_0} \frac{\partial t_0}{\partial x}$$
Likewise for dealing with ##\large \frac{\partial \dot p_y(t_0)}{\partial x}## and ##\large \frac{\partial \dot p_z(t_0)}{\partial x}##.

You should find that
$$\left(\nabla \left[ \frac {\mathbf{\hat r} \cdot \mathbf{ \dot p}(t_0)}{r} \right]\right)_x = \left( \frac {\mathbf{\hat{r}}}{r} \cdot \mathbf{\ddot p}(t_0)\right) \frac{\partial t_0}{\partial x}$$
Similar results are obtained for the ##y## and ##z## components of ##\nabla \left[ \frac {\mathbf{\hat r} \cdot \mathbf{ \dot p}(t_0)}{r} \right]##.
 
  • Like
Likes   Reactions: Delta2
Herculi said:
Homework Statement:: I.
Relevant Equations:: .

Maybe ∇=∇toddto ? But this does not make sense.
Yes it does. That is just the chain rule:
$$
[\nabla \dot{\vec p}(t_0)]_{ij} = \frac{\partial \dot p^j(t_0)}{\partial x^i} = \frac{d \dot p^j}{dt_0}\frac{\partial t_0}{\partial x^i} = \ddot{p}^j(t_0) \partial_i t_0.
$$
 
Last edited:

Similar threads

Replies
1
Views
3K
  • · Replies 8 ·
Replies
8
Views
5K
  • · Replies 2 ·
Replies
2
Views
3K
  • · Replies 17 ·
Replies
17
Views
3K
  • · Replies 1 ·
Replies
1
Views
2K
  • · Replies 1 ·
Replies
1
Views
2K
  • · Replies 21 ·
Replies
21
Views
3K
  • · Replies 2 ·
Replies
2
Views
2K
Replies
9
Views
3K
  • · Replies 20 ·
Replies
20
Views
6K