Problems with First order RC circuit

Click For Summary

Discussion Overview

The discussion revolves around the analysis of a first-order RC circuit, specifically focusing on the behavior of the circuit when a switch is closed and then opened. Participants are addressing the theoretical and practical aspects of the circuit's response over time, particularly in relation to voltage across the capacitor.

Discussion Character

  • Technical explanation
  • Homework-related
  • Conceptual clarification

Main Points Raised

  • One participant expresses confusion about the initial conditions when the switch is in steady state, noting that the current through the capacitor would be zero and questioning the implications for their calculations.
  • Another participant describes the circuit configuration, including a 12V power source with internal resistance and a parallel RC circuit, and requests clarification on the method for solving part (a) of the problem.
  • There is a request for clarification on the physical behavior of the capacitor when the switch is opened after being closed for a long time, specifically regarding the initial voltage and charge dynamics.
  • One participant references the response of a series RC circuit to a step input and inquires about familiarity with Thevenin's theorem, suggesting these concepts may be relevant to the discussion.

Areas of Agreement / Disagreement

The discussion reflects uncertainty and confusion regarding the initial conditions and the behavior of the circuit in different states. Participants have not reached a consensus on the approach to solving the problem, and multiple viewpoints on the analysis are present.

Contextual Notes

Participants have not fully defined the assumptions regarding the initial voltage on the capacitor or the implications of the switch's state on the circuit's behavior. There are unresolved questions about the mathematical steps needed to analyze the circuit's response.

Who May Find This Useful

This discussion may be useful for students or individuals studying electrical engineering or circuit analysis, particularly those interested in first-order circuits and transient response behavior.

thuc
Messages
12
Reaction score
0
Member warned to use the homework template for posts in the homework sections of PF.
I have problems with question b. I don't know where to start. If the switch is on steady state, the current through capacitor would be 0 and i can't have K. This makes me confused.
This is the Total response function of a): V0(t) = K^(-1/2t)
 

Attachments

  • Untitled.png
    Untitled.png
    8.9 KB · Views: 483
Physics news on Phys.org
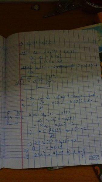
The image shows a 12V power source with 2##\Omega## internal resistance connected, in parallel, with a parallel RC circuit (3F and 4##\Omega##) via a switch.
The voltage across the capacitor is labelled ##v_0##.
Part (a) says the switch, open for a long time, is closed at t=0, find ##v_0(t)##.
Part (b) says the switch has been closed for a long time, and is opened at t=0, find ##v_0(t)##.
These two parts normally have a similar method of solution, so please show your method for part (a) so we can see how you are thinking.

For part (b) ... what is physically happening? What is the initial voltage on the capactor, what happens to the charge on the capacitor for t>0?
 
Ok, this is part a)
 

Attachments

  • 14466202_885229441578871_571266274_o.jpg
    14466202_885229441578871_571266274_o.jpg
    26.1 KB · Views: 465
  • 14466255_885229451578870_783701545_o.jpg
    14466255_885229451578870_783701545_o.jpg
    27 KB · Views: 510
  • 14466252_885229468245535_437598915_o.jpg
    14466252_885229468245535_437598915_o.jpg
    24.4 KB · Views: 461
thuc said:
Ok, this is part a)
Are you familiar with the response of a series RC circuit excited with a step input?
Are you familiar with the Thevenin's theorem?
 

Similar threads

  • · Replies 4 ·
Replies
4
Views
3K
  • · Replies 3 ·
Replies
3
Views
2K
  • · Replies 2 ·
Replies
2
Views
2K
  • · Replies 2 ·
Replies
2
Views
2K
  • · Replies 46 ·
2
Replies
46
Views
11K
  • · Replies 2 ·
Replies
2
Views
962
  • · Replies 1 ·
Replies
1
Views
2K
  • · Replies 7 ·
Replies
7
Views
3K
  • · Replies 10 ·
Replies
10
Views
3K
  • · Replies 4 ·
Replies
4
Views
2K