Product of distances from foci to any tangent of an ellipse

  • Context: Undergrad 
  • Thread starter Thread starter ElectronicTeaCup
  • Start date Start date
  • Tags Tags
    Ellipse Product Tangent
Click For Summary
SUMMARY

The discussion centers on the challenges faced during algebraic manipulations in calculus, specifically regarding the product of distances from foci to tangents of an ellipse. Participants emphasize the importance of accurate algebraic skills, noting that incorrect substitutions, such as confusing ##c^2## with ##c##, can lead to significant errors. The consensus is that while it may be tempting to peek at solutions, developing a strong foundation in algebra is crucial for success in calculus. Practicing algebraic techniques is essential to avoid pitfalls in problem-solving.

PREREQUISITES
  • Understanding of calculus concepts
  • Familiarity with algebraic manipulation techniques
  • Knowledge of ellipse properties and equations
  • Basic proficiency in LaTeX for equation formatting
NEXT STEPS
  • Practice algebraic manipulation problems in calculus contexts
  • Study the properties of ellipses and their equations
  • Learn to use LaTeX for clear mathematical communication
  • Explore resources on common algebraic mistakes and how to avoid them
USEFUL FOR

Students in self-study calculus courses, educators teaching algebra and calculus, and anyone looking to strengthen their algebraic skills for better performance in mathematics.

ElectronicTeaCup
Messages
23
Reaction score
1
TL;DR
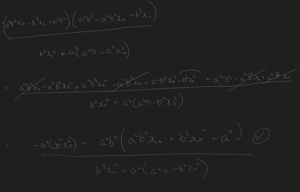
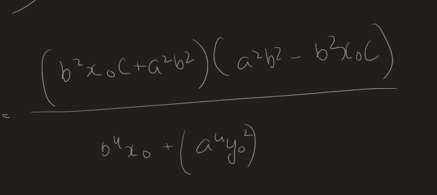
Show that the product of the distances from the foci to any point of any tangent to an ellipse is ##b^2##
where b is the semi-minor axis.
As part of the final stage of a problem, there is some algebraic manipulation to be done (from the solution manual):

1592982403074.png


But I'm getting lost somewhere:

1592982543287.png
1592982500820.png

Also a bit of general advice needed: This is part of a self-study Calculus course, and I often have difficulty with bigger algebraic manipulations like this. I often feel if I made a deviation at some point, I will never be able to get to the solution—and I am assuming I need to go through all the possible ways before I have my solution. When in such a situation, I peek at the answer and force the solving into the direction of the solution. Is this bad practice? I feel I shouldn't be spending inordinate amounts of time on algebra in a calculus course.
 
Mathematics news on Phys.org
As written, the statement is clearly wrong. Every point outside the ellipse is element of two tangents, including points that are 1000 b away from the ellipse. What they mean is the distance between the foci and the tangent, not arbitrary points on the tangent.

I don't understand how you get from your first image to the first equation in the second image. Did you swap c <-> c2? It's usually better to simplify first before you plug in things that make the equations longer.
Getting algebra right is an important skill everywhere, so practicing it is a good idea. There are many ways to get to the solution, but a wrong step somewhere will throw off the approach every time. Sometimes it's clear from the wrong answer where things went wrong, sometimes it is not.

You can use LaTeX to write equations here, by the way:
$$\frac{a^2b^2x_0}{b^2+c^2}$$
 
  • Like
Likes   Reactions: ElectronicTeaCup
Thank you for your reply. I notice now that not only did I write the equation incorrectly, (wrote ##b^{4} x_{0}## instead of ##b^{4} x^2_{0}##) I incorrectly substituted ##c^2## for ##c## o_O

Thank you for your advice, I have this misconception that algebra is unimportant in the computer age and keep avoiding algebraic mistakes by abandoning questions that involve any algebra I find difficult. I will do better, and stick to it.
 

Similar threads

Replies
1
Views
2K
  • · Replies 4 ·
Replies
4
Views
2K
  • · Replies 2 ·
Replies
2
Views
3K
  • · Replies 14 ·
Replies
14
Views
2K
  • · Replies 7 ·
Replies
7
Views
4K
  • · Replies 2 ·
Replies
2
Views
14K
Replies
24
Views
10K
  • · Replies 5 ·
Replies
5
Views
3K
  • · Replies 5 ·
Replies
5
Views
2K
  • · Replies 14 ·
Replies
14
Views
5K