QFT Path Integral: Confusions on Left & Right Most Terms & Vacuum State

Click For Summary

Discussion Overview

The discussion revolves around the path integral formulation in quantum field theory (QFT), specifically addressing confusions regarding the left and right most terms in the path integral expression and the role of the vacuum state in the calculations. Participants explore theoretical implications, mathematical representations, and the necessity of boundary terms in the context of vacuum states versus other states.

Discussion Character

  • Exploratory
  • Technical explanation
  • Debate/contested
  • Mathematical reasoning

Main Points Raised

  • One participant expresses confusion about the terms $$<\Phi_{1}|e^{-i\delta H(t_0)}|0>$$ and $$<0|e^{-i\delta H(t_n)}|\Phi_{n}>$$ and questions how the vacuum state is utilized in the path integral.
  • Another participant questions whether the results would differ if initial and final states were not the vacuum state, suggesting that the same answer might be obtained regardless of the states.
  • Some participants assert that different initial states would lead to different results for the first and last terms, although uncertainty remains about the final state.
  • Concerns are raised about the absence of boundary terms in the integral, with participants noting that in quantum mechanics, boundaries are typically present at the beginning and end points.
  • Discussion includes the nature of the vacuum state and its representation in the context of path integrals, with references to mathematical spaces and the implications of using delta functions.
  • There is a debate about the validity of certain notations and the existence of states like $$|\Phi_N\rangle$$, with some participants arguing that these representations lack rigorous definitions.
  • Clarifications are made regarding the functional representation of position eigenstates and their relation to delta functions.

Areas of Agreement / Disagreement

Participants express a range of views, with some agreeing that the vacuum state plays a critical role while others remain uncertain about its necessity. The discussion reflects multiple competing perspectives on the implications of using different states and the mathematical formalism involved, indicating that no consensus has been reached.

Contextual Notes

Participants highlight limitations in the mathematical treatment of states and integrals, noting that certain representations may not converge or have well-defined meanings. The discussion also touches on the complexities of measure theory in the context of quantum field theory.

Silviu
Messages
612
Reaction score
11
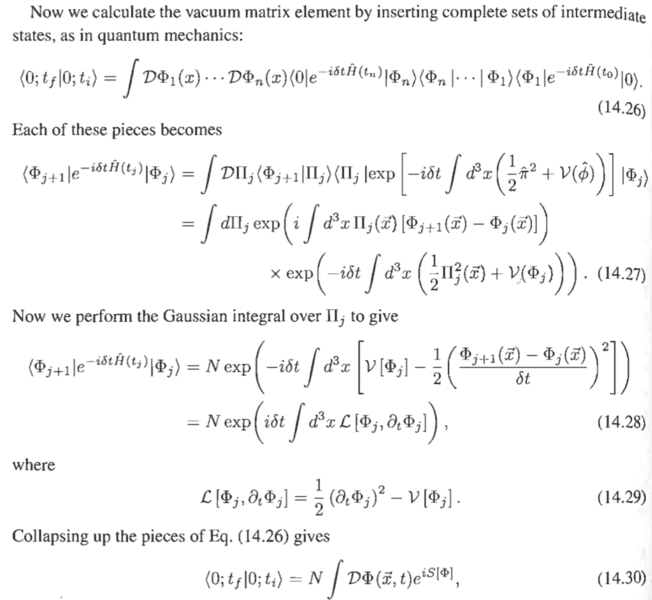
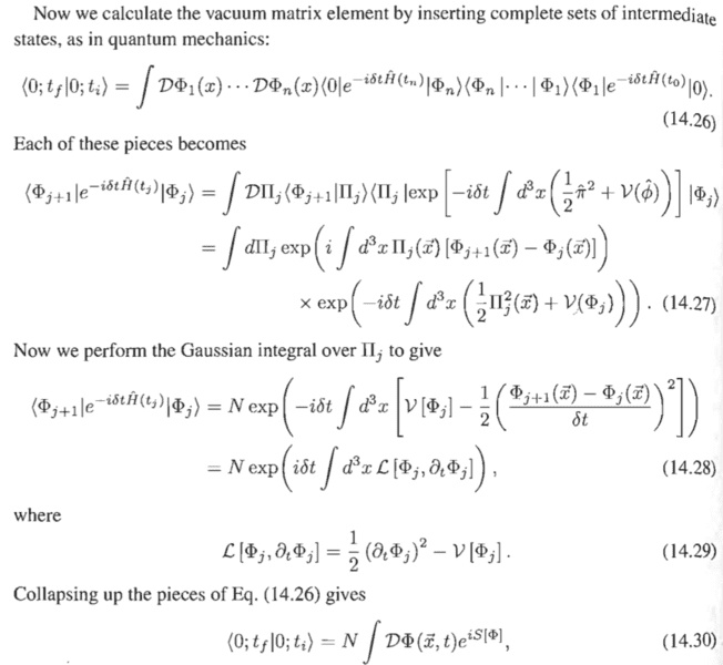
Hello! I am reading from Schwarz book on QFT the Path Integral chapter and I am confused about something. I attached a SS of that part. So we have $$<\Phi_{j+1}|e^{-i\delta H(t_j)}|\Phi_{j}>=N exp(i\delta t \int d^3x L[\Phi_j,\partial_t \Phi_j])$$ What happens when we have the left and right most terms i.e. $$<\Phi_{1}|e^{-i\delta H(t_0)}|0>$$ and $$<0|e^{-i\delta H(t_n)}|\Phi_{n}>$$ Another thing that I am confused about, where are we using the fact that the state in the beginning and the end is ##|0>##? I see we are using the boundaries on time, but I can't see where we use explicitly the fact that we start and end with vacuum i.e. if we had any ##<f|i>## where would we have a different term?
 

Attachments

  • PathIntegrals.png
    PathIntegrals.png
    31.3 KB · Views: 621
Physics news on Phys.org
Anyone please? I am still not sure I understand what I am missing...
 
Are you sure this only works with the vacuum and not with other states?
 
mfb said:
Are you sure this only works with the vacuum and not with other states?
I am not sure about anything right now... But as I said in the post I can't see where he is using the fact that the initial and final sates are the vacuum so technically you would get the same answer no matter what your initial and final states are, which doesn't really make sense to me.
 
Well, the right side leads to different results for the first and last term if you plug in different initial states. I'm not sure about the final state.
 
mfb said:
Well, the right side leads to different results for the first and last term if you plug in different initial states. I'm not sure about the final state.
But I am not sure how does he get the first and last terms. He gives a formula for ##\Phi_i##, but ##|0>## is not an eigenstate of ##\hat{\Phi}(x,t)##. What confuses me the most is why don't we have boundary terms for the integral. In QM you have boundaries the for the beginning and end points. So here I would expect the field to begin in vacuum at ##t_i##, go through all possible field configurations and end up in vacuum at ##t_f## be the way he writes it (and from what I understand from the continuation of the chapter) this integral doesn't have a boundary.
 
Silviu said:
But I am not sure how does he get the first and last terms. He gives a formula for ##\Phi_i##, but ##|0>## is not an eigenstate of ##\hat{\Phi}(x,t)##. What confuses me the most is why don't we have boundary terms for the integral. In QM you have boundaries the for the beginning and end points. So here I would expect the field to begin in vacuum at ##t_i##, go through all possible field configurations and end up in vacuum at ##t_f## be the way he writes it (and from what I understand from the continuation of the chapter) this integral doesn't have a boundary.
There should be boundary terms on the intermediate path integrals.

Regarding where ##|0\rangle## being the state is used, he doesn't specify this and most books don't. Essentially ##|0\rangle## is an element of ##\mathcal{L}^{2}\left(H_{-1/2}\left(\mathbb{R}^{3}\right)\right)##, that is it is a function over the space of classical field configurations at a fixed time. So at the end and start of the path integral you should have something like:
$$\int_{\Phi_N}\Psi\left(\Phi_N\right)|\Phi_N\rangle$$
with ##\Psi\left(\Phi_N\right)## being the vacuum state wavefunction, the analogue of ##\Psi\left(q_N\right)## for the ground state wavefunction in non-relativistic QM. However you can show there is a measure over the space of fields where ##\Psi\left(\Phi_N\right) = 1##, so this really just becomes an integral over all final fields.

Same for the initial fields ##\Psi_1##.
 
  • Like
Likes   Reactions: physlosopher
DarMM said:
There should be boundary terms on the intermediate path integrals.

Regarding where ##|0\rangle## being the state is used, he doesn't specify this and most books don't. Essentially ##|0\rangle## is an element of ##\mathcal{L}^{2}\left(H_{-1/2}\left(\mathbb{R}^{3}\right)\right)##, that is it is a function over the space of classical field configurations at a fixed time. So at the end and start of the path integral you should have something like:
$$\int_{\Phi_N}\Psi\left(\Phi_N\right)|\Phi_N\rangle$$
with ##\Psi\left(\Phi_N\right)## being the vacuum state wavefunction, the analogue of ##\Psi\left(q_N\right)## for the ground state wavefunction in non-relativistic QM. However you can show there is a measure over the space of fields where ##\Psi\left(\Phi_N\right) = 1##, so this really just becomes an integral over all final fields.

Same for the initial fields ##\Psi_1##.

Isn't your last integral, i.e ##
\int_{\Phi_N}\Psi\left(\Phi_N\right)|\Phi_N\rangle##

a big abuse of notation, for example where the integration measure, why does the surface of integration is the variable function ##\Phi_N##?, I mean it should be some manifold or generally some set, but I don't see where you make this distinction.
 
MathematicalPhysicist said:
Isn't your last integral, i.e ##
\int_{\Phi_N}\Psi\left(\Phi_N\right)|\Phi_N\rangle##

a big abuse of notation, for example where the integration measure, why does the surface of integration is the variable function ##\Phi_N##?, I mean it should be some manifold or generally some set, but I don't see where you make this distinction.
Sorry I don't understand. I'm saying one integrates over all ##\phi_N##, what exactly the set of all ##\Phi_N## is depends on the dimensionality of the spacetime, so I'm not specifying it as it is unimportant. Things like ##|\Phi_N\rangle## are already an abuse of notation, as they don't exist. As is in fact the entire derivation as the integral can be proven to not converge.

The correct (Osterwalder-Schrader) derivation of the path integral via Minlos's theorem or the Schwinger functions is nothing like this at all.
 
  • #10
##|\Phi_N >## is a ket vector, why doesn't it exist?
 
  • #11
Well firstly its analogue in non-relativistic quantum mechanics is:
$$|x_0\rangle = \delta(x - x_0)$$
Which isn't a proper member of the physical Hilbert space. However even ignoring this, in QFT it's:
$$|\Phi_N\rangle = \delta(\Phi - \Phi_N)$$
a delta function over the space of classical fields at a given time, so it is a member of:
$$\mathcal{D}\left(H_{-\frac{1}{2}}\left(\mathbb{R}^{3}\right)\right)$$
that is a map:
$$\delta(\Phi - \Phi_N) : C_0\left(H_{-\frac{1}{2}}\left(\mathbb{R}^{3}\right)\right) \rightarrow \mathbb{R}$$
with ##H_{-\frac{1}{2}}\left(\mathbb{R}^{3}\right)## the Sobolev space of fields at a fixed time, itself containing distributions and ##C_0\left(H_{-\frac{1}{2}}\left(\mathbb{R}^{3}\right)\right)## then being the space of functions of compact support over this space.

Such objects (delta functions over a space of distributions) have no real well-defined rigorous definition for various reasons, such as the structure and nature of ##C_0\left(H_{-\frac{1}{2}}\left(\mathbb{R}^{3}\right)\right)##, the difficulties of the notion of compact support over such a space, the measure theory of ##H_{-\frac{1}{2}}\left(\mathbb{R}^{3}\right)## itself being complex (and equivalent to constructing a QFT). In fact there is little mathematical theory on them.
 
  • #12
Shouldn't it be ##<x|x_0>=\delta(x-x_0)##?
 
  • #13
MathematicalPhysicist said:
Shouldn't it be ##<x|x_0>=\delta(x-x_0)##?
The inner product between two position eigenstates does obey:
$$<x_i|x_j>=\delta(x_i-x_j)$$
but also the functional (really distributional) representation of a given position eigenstate is:
$$|x_0\rangle = \delta(x - x_0)$$
with ##x## the coordinates in ##\mathbb{R}^{3}##
 

Similar threads

  • · Replies 1 ·
Replies
1
Views
2K
  • · Replies 3 ·
Replies
3
Views
3K
  • · Replies 1 ·
Replies
1
Views
2K
  • · Replies 11 ·
Replies
11
Views
2K
  • · Replies 15 ·
Replies
15
Views
3K
  • · Replies 13 ·
Replies
13
Views
2K
  • · Replies 1 ·
Replies
1
Views
4K
  • · Replies 1 ·
Replies
1
Views
1K
  • · Replies 17 ·
Replies
17
Views
4K
  • · Replies 3 ·
Replies
3
Views
2K