Relationship Between Total Derivatives and Directional Derivatives .... ....

Click For Summary

Discussion Overview

The discussion centers on the relationship between total derivatives and directional derivatives in multivariable calculus, specifically referencing Theorem 12.3 from Tom M. Apostol's "Mathematical Analysis." Participants explore the conditions under which a function can have finite directional derivatives at a point while failing to be continuous, as well as the implications for total derivatives.

Discussion Character

  • Exploratory
  • Technical explanation
  • Debate/contested

Main Points Raised

  • Some participants express confusion about how a function can have finite directional derivatives for every direction at a point but still be discontinuous at that point.
  • One participant provides an example of a function, \( f(x,y) = \frac{x^2y}{x^4+y^2} \) for \((x,y) \neq (0,0)\) and \( f(0,0) = 0 \), which has directional derivatives at the origin but is not continuous there.
  • Another participant mentions a different function, \( f(x,y) = 0 \) if \( xy = 0 \) and \( f(x,y) = 1 \) otherwise, illustrating a similar situation where directional derivatives exist at the origin but continuity fails.
  • Participants discuss the geometric interpretation of these functions, noting that limits can differ based on the path taken towards the point of interest.
  • There is a consensus that if a function has a total derivative at a point, it must also be continuous at that point, which is not the case for the examples provided.

Areas of Agreement / Disagreement

Participants generally agree on the implications of total derivatives requiring continuity. However, there are multiple competing views regarding the specific examples and their interpretations, indicating that the discussion remains unresolved in terms of broader implications.

Contextual Notes

Limitations include the dependence on specific definitions of continuity and differentiability, as well as the need for further exploration of the examples provided to fully understand the nuances of the relationships discussed.

Math Amateur
Gold Member
MHB
Messages
3,920
Reaction score
48
I am reading Tom M Apostol's book "Mathematical Analysis" (Second Edition) ...I am focused on Chapter 12: Multivariable Differential Calculus ... and in particular on Section 12.4: The Total Derivative ... ...I need help in order to fully understand Theorem 12.3, Section 12.4 ...Theorem 12.3 (including its proof) reads as follows:
View attachment 8505

Regarding the above Theorem, I am finding it difficult to understand how, when $$T_c(u) = f'(c;u)$$, that a function can have a finite directional derivative $$f'(c;u)$$ for every $$u$$ but may fail to be continuous at $$c$$ ... whereas! ... for a total derivative ... when a function has a total derivative it is continuous ... YET! ... $$T_c(u) = f'(c;u)$$ ...Can someone please explain what is going on ...
Help will be appreciated ...

Peter
=====================================================================================

It may help MHB readers of the above post to have access to Section 12.4 on the total derivative ... so I am providing access to the same ... as follows...
View attachment 8506
View attachment 8507
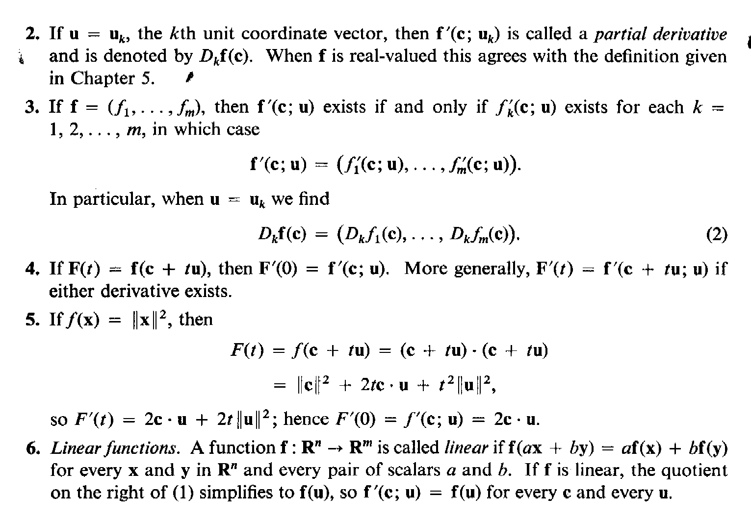
It may also help MHB readers of the above post to have access to Section 12.2 on the directional derivative ... so I am providing access to the same ... as follows...

View attachment 8508
View attachment 8509
Hope that helps ...

Peter
 

Attachments

  • Apostol - Theorem 12.3 .png
    Apostol - Theorem 12.3 .png
    13.5 KB · Views: 146
  • Apostol - 1 - Section 12.4 ... PART 1 .png
    Apostol - 1 - Section 12.4 ... PART 1 .png
    32.7 KB · Views: 163
  • Apostol - 2 - Section 12.4 ... PART 2 ... .png
    Apostol - 2 - Section 12.4 ... PART 2 ... .png
    41.1 KB · Views: 166
  • Apostol - 1 - Section 12.2 ... PART 1 ... .png
    Apostol - 1 - Section 12.2 ... PART 1 ... .png
    22.5 KB · Views: 144
  • Apostol - 2 - Section 12.2 ... PART 2 .png
    Apostol - 2 - Section 12.2 ... PART 2 .png
    19.5 KB · Views: 139
Physics news on Phys.org
Peter said:
I am reading Tom M Apostol's book "Mathematical Analysis" (Second Edition) ...I am focused on Chapter 12: Multivariable Differential Calculus ... and in particular on Section 12.4: The Total Derivative ... ...I need help in order to fully understand Theorem 12.3, Section 12.4 ...Theorem 12.3 (including its proof) reads as follows:Regarding the above Theorem, I am finding it difficult to understand how, when $$T_c(u) = f'(c;u)$$, that a function can have a finite directional derivative $$f'(c;u)$$ for every $$u$$ but may fail to be continuous at $$c$$ ... whereas! ... for a total derivative ... when a function has a total derivative it is continuous ... YET! ... $$T_c(u) = f'(c;u)$$ ...Can someone please explain what is going on …
Consider the function f(x, y)= 0 if xy= 0, f(x,y)= 1 otherwise. xy= 0 if and only if x= 0 or y= 0. Think of this as the plane z= f(x,y)= 1 with (x, 0, 1) and (0, y, 1), above x and y axes, lowered down to z= 0. At any point on the x-axis the derivative in the x-direction exists (and is 0). At any point on the y-axis the derivative in the y-direction exists and is 0. At the origin, the derivative in both x and y directions exist. But the function is not continuous on the axes.
 
Peter said:
I am finding it difficult to understand how ... a function can have a finite directional derivative $$f'(c;u)$$ for every $$u$$ but may fail to be continuous at $$c$$.
An example of this is given by the function $f(x,y) = \dfrac{x^2y}{x^4+y^2}$ for all $(x,y)\ne(0,0)$, with $f(0,0) = 0.$ This function has a directional derivative in every direction at the origin. In fact, in the direction of the vector $(u,v)$, \[ \frac{f(hu,hv) - f(0,0)}h = \frac{h^3u^2v}{h(h^4u^4 + h^2v^2)} = \frac{u^2v}{h^2u^4 + v^2}.\] Taking the limit as $h\to0$, \[\lim_{h\to0}\frac{u^2v}{h^2u^4 + v^2} = \begin{cases}0&\text{if }v=0,\\ \frac{u^2}v&\text{if }v\ne0. \end{cases} \] So that limit exists for every direction $(u,v).$

On the other hand, $f(x,x^2) = \dfrac{x^4}{2x^4} \to \frac12$ as $x\to0$. So there are points arbitrarily close to $(0,0)$ at which the function takes the value $\frac12$. Therefore $f$ is not continuous at the origin. Geometrically, what is happening here is that the function tends to $0$ as you approach the origin from any direction in a straight line. But if you approach the origin along the curve $y=x^2$, the function tends to $\frac12$ rather than $0$.

Of course, this function cannot have a total derivative at the origin, because that would imply continuity there.
 
Last edited:
Opalg said:
An example of this is given by the function $f(x,y) = \dfrac{x^2y}{x^4+y^2}$ for all $(x,y)\ne(0,0)$, with $f(0,0) = 0.$ This function has a directional derivative in every direction at the origin. In fact, in the direction of the vector $(u,v)$, \[ \frac{f(hu,hv) - f(0,0)}h = \frac{h^3u^2v}{h(h^4u^4 + h^2v^2)} = \frac{u^2v}{h^2u^4 + v^2}.\] Taking the limit as $h\to0$, \[\lim_{h\to0}\frac{u^2v}{h^2u^4 + v^2} = \begin{cases}0&\text{if }v=0,\\ \frac{u^2}v&\text{if }v\ne0. \end{cases} \] So that limit exists for every direction $(u,v).$

On the other hand, $f(x,x^2) = \dfrac{x^4}{2x^4} \to \frac12$ as $x\to0$. So there are points arbitrarily close to $(0,0)$ at which the function takes the value $\frac12$. Therefore $f$ is not continuous at the origin. Geometrically, what is happening here is that the function tends to $0$ as you approach the origin from any direction in a straight line. But if you approach the origin along the curve $y=x^2$, the function tends to $\frac12$ rather than $0$.

Of course, this function cannot have a total derivative at the origin, because that would imply continuity there.
Thanks Country Boy and Opalg

Peter
 

Similar threads

  • · Replies 2 ·
Replies
2
Views
3K
Replies
2
Views
1K
Replies
5
Views
2K
Replies
2
Views
2K
Replies
1
Views
2K
  • · Replies 3 ·
Replies
3
Views
2K
Replies
2
Views
2K
  • · Replies 2 ·
Replies
2
Views
2K
  • · Replies 2 ·
Replies
2
Views
2K
  • · Replies 2 ·
Replies
2
Views
2K