Reverse saturation current and leakage current in a BJT

Click For Summary
SUMMARY

The reverse saturation current in a BJT is denoted as "Is" for the base-emitter junction and "Ics" for the collector-base junction, which is also referred to as the collector-base reverse saturation current. The parameter "Icbo" represents the collector to emitter current with an open base and is often considered a leakage current. The confusion arises because many sources interchangeably use "Is" and "Icbo," despite their distinct definitions. Understanding these differences is crucial for accurate analysis in BJT applications.

PREREQUISITES
  • Understanding of BJT operation and terminology
  • Familiarity with semiconductor physics
  • Knowledge of Shockley diode equation
  • Basic concepts of electronic circuit analysis
NEXT STEPS
  • Study the differences between "Ics" and "Ies" in BJTs
  • Learn about the Shockley diode equation and its application in BJTs
  • Research the impact of doping densities on BJT performance
  • Explore BJT circuit models and their implications for leakage currents
USEFUL FOR

Electronics students, circuit designers, and engineers working with BJTs who need clarity on reverse saturation and leakage currents for accurate circuit design and analysis.

anubhavsingh
Messages
3
Reaction score
0
TL;DR
What is the relation between reverse saturation current and leakage current in a BJT?
I have been studying Studying Donald Neamen's Electronic Circuits 4th edition and Sedra Smith's Microelectronics 7th edition for quite some time now. I have been self studying. After searching extensively on Internet as well as trying to understand from the books, I have not been able to differentiate between two quantities in the context of BJT.

These two quantities are: IS and ICBO

According to Sedra Smith, ICBO is the collector base reverse current and
del3.JPG

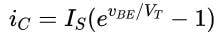
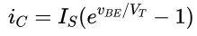
Whereas IS is the saturation or scale current given by
del2.jpg

del1.jpg

I have been wondering are these two quantities same or share some relation between them because I find the name for both these quantities being used inter-changeably at many places which is quite confusing and I believe they are not the same.

Also, I am confused which current is being referred to when on Internet I find the term "reverse saturation current". Searching on Internet the term "reverse saturation current" gives two kinds of sources: one referring it as IS and the other referring it as ICBO Another similar quantity is ICBO.

References

Sedra Smith
Donald Neamen
 

Attachments

  • del2.jpg
    del2.jpg
    1.7 KB · Views: 241
Last edited:
Engineering news on Phys.org
anubhavsingh said:
Summary:: What is the relation between reverse saturation current and leakage current in a BJT?

I have been studying Studying Donald Neamen's Electronic Circuits 4th edition and Sedra Smith's Microelectronics 7th edition for quite some time now. I have been self studying. After searching extensively on Internet as well as trying to understand from the books, I have not been able to differentiate between two quantities in the context of BJT.

These two quantities are: IS and ICBO

According to Sedra Smith, ICBO is the collector base reverse current and
View attachment 290364
Whereas IS is the saturation or scale current given by
View attachment 290363
View attachment 290361
I have been wondering are these two quantities same or share some relation between them because I find the name for both these quantities being used inter-changeably at many places which is quite confusing and I believe they are not the same.

Also, I am confused which current is being referred to when on Internet I find the term "reverse saturation current". Searching on Internet the term "reverse saturation current" gives two kinds of sources: one referring it as IS and the other referring it as ICBO Another similar quantity is ICBO.

References

Sedra Smith
Donald Neamen
Here it is. The *reverse saturation current*, "Is", is the reverse current of the base-emitter junction. This is denoted as "Is" in a diode, a 2 terminal device.
But a bjt has 3 terminals, & 2 p-n junctions. The collector base jcn is reverse biased when bjt is biased in its active region. Without base current, the emitter current is the collector base jcn reverse saturation current. This can be regarded a "leakage current". This is "Ics", the collector base reverse saturation current.

The base emitter jcn has a reverse saturation current denoted by "Ies". This value, Ies, generally differs from Ics since collector & emitter regions have differing doping densities. The value Ies is the reverse current in a reverse biased base emitter junction with collector open.

The parameter "Icbo", is collector to emitter current with an open base. This is often regarded as leakage, since a bjt having no input on the base emitter junction, ie zero bias, should ideally have zero collector current Ic.

But the reverse biased c-b jcn has a small reverse current, Ics per Shockley diode eqn, or Icbo per bjt circuit models. Data sheets display this Ics/Icbo value generally.

The problem with most semiconductor theory textbooks is that of denoting b-e jcn reverse saturation current as "Is". For a diode, Is is fine. But bjt has 2 junctions, each with its own "Is" parameter. Good concise authors differentiate these values by denoting them as "Ics", & "Ies", wrt to collector base & base emitter junctions.

I hope I've helped.
 
  • Informative
  • Like
Likes   Reactions: anubhavsingh and berkeman

Similar threads

Replies
2
Views
3K
  • · Replies 10 ·
Replies
10
Views
3K
Replies
4
Views
2K
Replies
19
Views
7K
  • · Replies 1 ·
Replies
1
Views
2K
  • · Replies 5 ·
Replies
5
Views
3K
  • · Replies 4 ·
Replies
4
Views
6K
  • · Replies 5 ·
Replies
5
Views
14K
  • · Replies 1 ·
Replies
1
Views
3K
  • · Replies 1 ·
Replies
1
Views
9K